网站首页  词典首页


请输入您要查询的字词:

 

字词 废物和用废物所生产的产品实现利润
类别 中英文字词句释义及详细解析
释义 废物和用废物所生产的产品实现利润

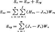
企业的废物和用废物生产的产品所实现的利润Sc就等于加工废物所生产的产品利润Sce与销售原生废物的利润之和,即:

式中:Hri表示用i种废物生产的r种产品的单位出厂价格(元/单位);Jri表示用i种废物生产的r种产品的单位成本(元/单位);Wri表示用i种废物生产的r种产品的销售总量(按实物量计算);n表示可以作为产品生产原料的废物种类数;f表示废物综合利用产品类型数;Ji表示原生状态废物产生企业的i种废物的销售价格(元/单位);Fi表示企业内部的废物的初级加工、取出、收集、装载和运输费用(元/单位);Wi表示废物销售总量(按实物量计);m表示销售废物的种类数。

随便看

 

离鸟网收录3541549条中英文词条,其功能与新华字典、现代汉语词典、牛津高阶英汉词典等各类中英文词典类似,基本涵盖了全部常用中英文字词句的读音、释义及用法,是语言学习和写作的有利工具。

 

Copyright © 2004-2024 vtrois.com All Rights Reserved
更新时间:2026/4/8 20:21:25