网站首页  词典首页


请输入您要查询的字词:

 

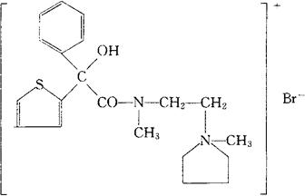
字词 度福溴铵
类别 中英文字词句释义及详细解析
释义 度福溴铵

C20H27BrN2O2S=439.41

CAS-26058-50-4

溴化1-甲基-1-[2-(N-甲基-α-2-噻吩基扁桃酰胺基)乙基]-吡咯烷鎓盐。

1-Methyl-1-[2-(N-methyl-α-2-thienylmandelamido)ethyl]pyrrolidiniumbromide.

解痉药。

Dotefonium Bromide,H 4132.

INN,USAN.

随便看

 

离鸟网收录3541549条中英文词条,其功能与新华字典、现代汉语词典、牛津高阶英汉词典等各类中英文词典类似,基本涵盖了全部常用中英文字词句的读音、释义及用法,是语言学习和写作的有利工具。

 

Copyright © 2004-2024 vtrois.com All Rights Reserved
更新时间:2026/5/31 23:29:28