网站首页  词典首页


请输入您要查询的字词:

 

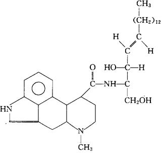
字词 度麦角胺
类别 中英文字词句释义及详细解析
释义 度麦角胺

C34H53N3O3=551.81

CAS-87178-42-5

N-[(1S,2R,3E)-2-羟-1-(羟甲基)-3-十七碳烯基]-6-甲基麦角灵-8β-羧酰胺。

N-[(1S,2R,3E)-2-Hydroxy-1-(hydroxymethyl)-3-heptadecenyl]-6-methylergoline-8β-carboxamide.

5-羟色胺拮抗药。

Dosergoside.

INN,USAN.

随便看

 

离鸟网收录3541549条中英文词条,其功能与新华字典、现代汉语词典、牛津高阶英汉词典等各类中英文词典类似,基本涵盖了全部常用中英文字词句的读音、释义及用法,是语言学习和写作的有利工具。

 

Copyright © 2004-2024 vtrois.com All Rights Reserved
更新时间:2026/4/5 15:12:21