网站首页  词典首页


请输入您要查询的字词:

 

字词 开平方
类别 中英文字词句释义及详细解析
释义 开平方

求一个数a的平方根的运算,叫做开平方,其中a叫做被开方数.

注意 开平方与平方互为逆运算.

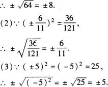
例1 求下列各数的平方根

解 (1)∵(±8)2=64

[解析] 求一个数的平方根,可利用平方根与开平方互为逆运算求解.

例2 求的平方根与算术平方根.

解 ∵,∴±

的平方根是±2,算术平方根是2.

[解析] 表示16的算术平方根4.

随便看

 

离鸟网收录3541549条中英文词条,其功能与新华字典、现代汉语词典、牛津高阶英汉词典等各类中英文词典类似,基本涵盖了全部常用中英文字词句的读音、释义及用法,是语言学习和写作的有利工具。

 

Copyright © 2004-2024 vtrois.com All Rights Reserved
更新时间:2026/4/6 23:27:35