异丁司特
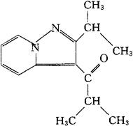
C14H18N2O=230.31 CAS-50847-11-5 1-(2-异丙基吡唑并[1,5-a]吡啶-3-基)-2-甲基-1-丙烷酮。 1-(2-Isopropylpyrazolo[1,5-a]pyridin-3-yl)-2-methyl-1-prop-anone. 3-异丁酰-2-异丙基吡唑并[1,5-a]吡啶。 3-Isobutyryl-2-isopropylpyrazolo[1,5-a]pyridine. 2-甲基-1-[2-(1-甲基乙基)吡唑并[1,5-a]吡啶-3-基]-1-丙烷酮。 2-Methyl-1-[2-(1-methylethyl)pyrazolo[1,5-a]pyridin-3-yl]-1-propanone. 抗过敏性药,血管扩张药。用于支气管哮喘、脑梗塞、脑出血后遗症、脑动脉硬化症。 Ibudilast,KC 404. INN,USAN.  |