网站首页  词典首页


请输入您要查询的字词:

 

字词 异他尔比妥
类别 中英文字词句释义及详细解析
释义 异他尔比妥

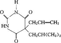
C11H16N2O3=224.26

CAS-77-26-9

5-烯丙基-5-异丁基巴比土酸。

5-Allyl-5-isobutylbarbituric acid.

5-烯丙基-5-异丁基-2,4,6(1H,3H,5H)-嘧啶三酮。

5-Allyl-5-isobutyl-2,4,6(1H,3H,5H)-pyrimidinetrione.

催眠镇静药。

布他比妥。

Alisobumal(NFN),Butalbital,Sandoptal,Allylbarbiuric Acid.

INN,DCF,DCIT,NFN,USAN,USP,MI.

随便看

 

离鸟网收录3541549条中英文词条,其功能与新华字典、现代汉语词典、牛津高阶英汉词典等各类中英文词典类似,基本涵盖了全部常用中英文字词句的读音、释义及用法,是语言学习和写作的有利工具。

 

Copyright © 2004-2024 vtrois.com All Rights Reserved
更新时间:2026/4/7 22:01:23