网站首页  词典首页


请输入您要查询的字词:

 

字词 异克舒令
类别 中英文字词句释义及详细解析
释义 异克舒令

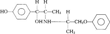
C18H23NO3=301.39

CAS-395-28-8

1-(对-羟苯基)-2-(1-甲基-2-苯氧乙基氨基)丙醇。

1-(p-Hydroxyphenyl)-2-(1-methyl-2-phenoxyethylamino)propan-1-ol.

对-羟-α-[1-[(1-甲基-2-苯氧乙基)氨基]乙基]苄醇。

p-Hydroxy-α-[1-[(1-methyl-2-phenoxyethyl)amino]ethyl]-benzyl alcohol.

血管扩张药。用于治疗脑和外围血管疾病。

苯氧丙酚胺,异舒普林。

Isoxsuprine,Isoxsuprina.

INN,BAN,BP,DCF,DCIT,USAN,USP.

随便看

 

离鸟网收录3541549条中英文词条,其功能与新华字典、现代汉语词典、牛津高阶英汉词典等各类中英文词典类似,基本涵盖了全部常用中英文字词句的读音、释义及用法,是语言学习和写作的有利工具。

 

Copyright © 2004-2024 vtrois.com All Rights Reserved
更新时间:2026/4/5 14:39:07