网站首页  词典首页


请输入您要查询的字词:

 

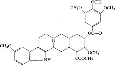
字词 异利血平[中]
类别 中英文字词句释义及详细解析
释义 异利血平[中]

C33H40N2O9=608.89

CAS-865-04-3

10-甲氧-11-去甲氧基利血平。

10-Methoxy-11-demethoxyreserpine.

安定药。

美索舍平。

Decaserpyl,Methoserpidine.

INN,BAN,DCF,NFN,USAN.

随便看

 

离鸟网收录3541549条中英文词条,其功能与新华字典、现代汉语词典、牛津高阶英汉词典等各类中英文词典类似,基本涵盖了全部常用中英文字词句的读音、释义及用法,是语言学习和写作的有利工具。

 

Copyright © 2004-2024 vtrois.com All Rights Reserved
更新时间:2026/4/7 4:18:56