网站首页  词典首页


请输入您要查询的字词:

 

字词 异尼辛
类别 中英文字词句释义及详细解析
释义 异尼辛

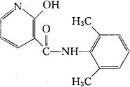
C14H14N2O2=242.28

CAS-57021-61-1

2-羟基2′,6′烟酰二甲苯胺。

2-Hydroxy-2′,6′-nicotinoxylidide.

N-(2,6-二甲基苯基)-1,2-二氢-2-氧代-3-吡啶甲酰胺。

N-(2,6-Dimethylphenyl)-1,2-dihydro-2-oxo-3-pyridinecarboxamide.

消炎、镇痛药,尿酸排除药。

Isonixin,IBH 194,Isonix-AA.

INN,USAN.

随便看

 

离鸟网收录3541549条中英文词条,其功能与新华字典、现代汉语词典、牛津高阶英汉词典等各类中英文词典类似,基本涵盖了全部常用中英文字词句的读音、释义及用法,是语言学习和写作的有利工具。

 

Copyright © 2004-2024 vtrois.com All Rights Reserved
更新时间:2026/4/7 8:38:56