异戊巴比妥[典]
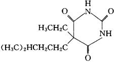
C11H18N2O3=226.27 CAS-57-43-2 5-乙基-5-异戊基巴比土酸。 5-Ethyl-5-isopentylbarbituric acid. 5-乙基-5-(3-甲基丁基)-2,4,6(1H,3H,5H)嘧啶三酮。 5-Ethyl-5-(3-methylbutyl)-2,4,6(1H,3H,5H)-pyrimidinetrione. 催眠药。 用于失眠及惊厥。 阿米妥,异戊巴比妥(台)。 Amobarbital,Amytal,Amylobarbitone,Amobarbitale,Pentymalum,Barbamylum. 异戊巴比妥片(阿米妥片),异戊巴比妥锭。 INN,BP,DCF,DCIT,EP,FP,JP,NF,NFN,USAN,USP,USSRP,MI. 
|