网站首页  词典首页


请输入您要查询的字词:

 

字词 异石榴亭
类别 中英文字词句释义及详细解析
释义 异石榴亭

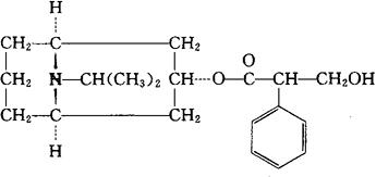
C20H29NO3=331.45

CAS-22150-28-3

9-异丙基石榴皮灵(士)托品酸(酯)。

9-Iospropylgranatoline(±)tropate(ester).

羟甲基苯醋酸,9-(1-甲基乙基)-9-氮杂双环[3.3.1]壬-3基α-。

9-(1-Methylethyl)-9-azabicyclo[3.3.1]non-3yl α-(hydroxymethyl)benzeneacetate.

解痉药,抗胆碱药。

Ipragratine,Kor-12-CL.

INN,USAN.

随便看

 

离鸟网收录3541549条中英文词条,其功能与新华字典、现代汉语词典、牛津高阶英汉词典等各类中英文词典类似,基本涵盖了全部常用中英文字词句的读音、释义及用法,是语言学习和写作的有利工具。

 

Copyright © 2004-2024 vtrois.com All Rights Reserved
更新时间:2026/5/25 14:41:19