网站首页  词典首页


请输入您要查询的字词:

 

字词 异舒必利
类别 中英文字词句释义及详细解析
释义 异舒必利

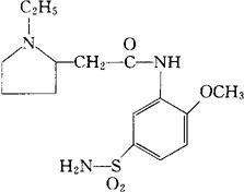
C15H23N3O4S

CAS-42792-26-7

1-乙基-5′-氨磺酰-2-吡咯烷乙酰-邻-甲氧基苯胺(茴香胺)。

1-Ethyl-5′-sulfamoyl-2-pyrrolidineacet-o-anisidide.

N-[5-(氨基磺酰基)-2-甲氧苯基]-1-乙基-2-吡咯烷乙酰胺。

N-[5-(Aminosulfonyl)-2-methoxyphenyl]-1-ethyl2-pyrrolidineacetamide.

镇吐药。

Isosulpride.

1NN.

随便看

 

离鸟网收录3541549条中英文词条,其功能与新华字典、现代汉语词典、牛津高阶英汉词典等各类中英文词典类似,基本涵盖了全部常用中英文字词句的读音、释义及用法,是语言学习和写作的有利工具。

 

Copyright © 2004-2024 vtrois.com All Rights Reserved
更新时间:2026/4/6 16:58:02