网站首页  词典首页


请输入您要查询的字词:

 

字词 弱P叶函数
类别 中英文字词句释义及详细解析
释义 弱P叶函数

在单位圆盘⊿={z‖z|<1}内解析的函数f(z),且满足:若对于每一R>0,或者f(z)在Δ内取|w|=R的每一w值恰好p次;或者在|w|=R上的-w,f(z)在Δ内取此w值少于p次,其中p为正整数。

这是英国海曼(W.K.Hayman)于1951年提出的。由定义可见,弱p叶函数包含了p叶函数与圆周平均p叶函数。

对弱p叶函数几何理论的探讨是世界单复变函数论研究的主要课题之一。

长期以来,国内外函数论专家们对弱p叶函数进行了一系列研究,取得了一系列好的成果。

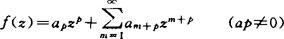
以记号W(p)表示这类函数,并设函数f(z)在Δ内有展式:

f(z)=a0+a1z+…+anzn+… (1)

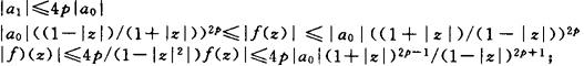
1951年海曼研究了W(p)的函数与导数的模。对于不取零值的函数(1)有

对于在z=0处有p重零点的函数

f(z)=zp+ap+1zp+1+… (z∈Δ) (2)有

上述估计是准确的。

且(2)式的f(z)在Δ内取|w|<4-p的每一w值恰好p次。

1974年伯恩斯坦(A.Barenstein)对于W(p)中的函数(2),推得如下凸积分平均值不等式:

其中0<r<1,Φ(x)是(-∞,+∞)内的一个凸、非减函数,K(z)=z/(1-z)2

1979年何泳贤对于W(p)中不取零值的函数f(z),推得如下凸积分平均值不等式:

0<r<1,Φ(x)是(-∞,+∞)内的一个凸、非减函数,F(z)=((1+z)/(1-z))2p

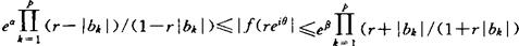
1974年海曼与威特斯曼(A.Weitsman)对于W(p)中的函数f(z),推得如下积分平均值不等式:

由此得(1)的系数不等式:

这里,A(p,q,…)是仅依赖于p,q,…的一个常数。

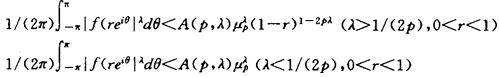
1977年希金森(C.G.Higginson)研究了W(p)的函数f(z)的最大增长半径,即,使得

的θ。证得W(p)中在Δ内有q(0≤q≤p)个零点的函数(1),对于每一θ∈[0,2π],极限α(θ)必存在,且集合E={θ|α(θ)>0}是一可数集;推得∑α(θ)的界有如下结果:

其中,A(q)是仅依赖于q的一个常数。

对于W(p)中函数(2),推得

而且,除非f(z)=zp(1-ze)-2p,λ为实数。

对于W(p)中不取零的函数(1),推得

而且,除非f(z)=a0((1+ze)/(1-ze))2p,λ为实数。

希金森还得到W(p)中函数(1)系数的渐近估计:

而且,若α(θ)>0的θ不止一个,则有

不存在。

1982~1986年,何泳贤研究了W(p)的函数的充要条件及p次覆盖半径。W(p)不外乎分成两子类,一类是在Δ内有p个零点,一类是在Δ内有少于p个零点,以符号W1(p)与W2(p)分别表示它们,证得:

f(z)∈Wi(p)的充要条件是:存在正数1f,使当|w|<1f时,f(z)-W在内有p个零点;而在|w|=R(R≥1f)上,存在一WR,使f(z)-WR在Δ内有少于p个零点。

f(z)∈W2(p)的充要条件是:对于每一R>0,在|w|=R上存在一WR,使f(z)-WR在Δ内有少于p个零点。

对于上述W1(p)的充要条件中的正数1f,我们称为f(z)的p次覆盖半径。推得1f与最小模有如下关系:

其中r0为f(z)在Δ内的零点的模之最大值。

对于在Δ内具有相同零点且一致收敛于不为常数的函数f(z)的函数列{fn(z)},fn(z)∈W1(p),n=1,2,…,以1fn,1f分别表示fn(z)与f(z)的p次覆盖半径,证得

还证得W1(p)中有界函数f(z)的p次覆盖半径1f与其边界值f*(eit)=limf(reit)有如下关系:

由此导出W1(p)中有界函数f(z)的模的估计:

其中b1,b2,…bp为f(z)在Δ内的零点,

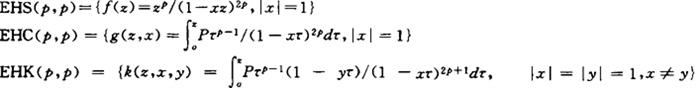
1976年哈伦巴克(D.T.Hallenback)与利文斯顿(A.E.Livingston)研究了W(p)中p叶函数的子类的极值点。以S(p,p)、C(p,p)、K(p,p)分别表示星形、凸形、近于凸形子类,以EHS(p,p)、EHC(p,p)、EHK(p,p)分别表示这3个子类的团凸壳的极值点集,证得

1989年罗东汉证得上述S(p,p)、C(p,p)、K(p,p)3个p叶函数子类的支撑点与极值点有如下关系:

Supp S(p,p)=EHS(p,p)

Supp C(p,p)=EHC(p,p)

第3个关系式是否能反过来仍未解决。

最近几年,中外函数论专家们较多地研究弱p叶函数的各种特殊子类。1989年杨定恭证得p叶函数(2)的子类Sn,p(A,B)有关系;

这子类是由满足

(z∈Δ,-1≤A<B≤1)的f(z)组成,其中Dn+p-1f(z)=[zp/(1-z)n+p]*f(z),n>-p。

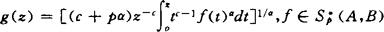
他还推得p叶函数子类的一类积分算子仍属于,即

其中α>0,C满足是由在Δ内有展式

且满足的p叶函数f(z)所组成。

1989年尤洛勒格底(B.A.Uralegaddi)与泊特尔(H.S.Patil)研究了亚纯p叶函数族∑(p),它由

f(z)=1/zp+a0/zp-1+a1/zp-2+… (3)

在D={z|0<|z|<1}内解析的p叶函数f(z)组成。推得∑(p)的子类Pn+p-1满足:,Pn+p-1是由∑(p)中满足

的f(z)所组成,其中Dn+p-1f(z)=[1/zp(1-z)n+p]*f(z)(n>-p)

1989年Nunokawa、Mamoru与Owa、Shigeyoshi证得W(p)中函数(2)是p叶星形的充要条件是:|argf(p)(z)|<(1/2)πα1(z∈Δ),其中α1=1/2+(2/π)arctg(1/2)=0.795。

1990年他们又证得W(p1)中函数(2)是p叶星形的另一充分条件是:1+Re(zf″(z)/f′(z))<p+(1/2) (z∈Δ)且沿射线argz=α与arg z=π+α(α∈[0,π))有裂缝的单位园盘内有Im(f′(z)/zp-1)·Im(ez)≠0。

他们还证得W(p)中函数(2)是p叶近于凸函数的充分条件是:

其中1+p≤K及(p+k-1)/2<β≤(p+k+1)/2。

1990年Owa证明了Nunokawa猜想:若f(z)是在Δ内具有展式(2)的解析函数,且

则f(z)是p叶星形函数

1991年Nunokawa证得在Δ内具有展式(2)的解析函数f(z)是p叶星形的充分条件是:

|1+zf″(z)/f′(z)|<p-1|zf′(z)/f(z)|log4ep-1,(z∈Δ)

另一充分条件是:

|1+zfp+1(z)/f(p)(z)1<|zf(p)z/f(p-1)(z)|log4,((z∈Δ)

当前,国内外对弱p叶函数的研究正方兴未艾,随著1985年比巴霸赫(Bieberbach)猜想的解决,有关单叶函数几何理论上许多问题也随之解决,因而函数几何理论研究的热点自然转向弱p叶函数(p≥2)方面。

从国内外最新研究成果和进展的信息来看,20世纪90年代对弱p叶函数研究的热点是:(1)弱p叶函数的性质,各种特殊函数子类的特点、关系和充要条件。(2)系数估计、偏差定理、闭包及凸性半径等等。(3)亚纯弱p叶函数的特点及其各子类的性质与充要条件。

。【参考文献】:

1 Hayman W K.J Analyse Math,1951,1∶155~179

2 Hayman W K,Weitsman A.Math Proc Cambridge Philos.Soc,1975,7∶119~137

3 Higginson C G.Proc London Math Soc,1977,35(2)∶291~312

4 何泳贤.华中师院学报(自然科学版),1983,17(1)∶1~6

5 何泳贤.华中师院学报(自然科学版),1985,19(2)∶29~32

6 何泳贤.数学杂志,1986,6(3)∶269~276

7 罗东汉.四川大学学报,1989,26(1)∶21~26

8 Uralegaddi B A,Patil H S.Math Chronicle,1989,18∶75~77

9 Aouf M K.Tamkang J Math,1989,20(2)∶135~146

(广州金融高等专科学校何泳贤教授撰;高仕安教授审)

随便看

 

离鸟网收录3541549条中英文词条,其功能与新华字典、现代汉语词典、牛津高阶英汉词典等各类中英文词典类似,基本涵盖了全部常用中英文字词句的读音、释义及用法,是语言学习和写作的有利工具。

 

Copyright © 2004-2024 vtrois.com All Rights Reserved
更新时间:2026/4/6 15:41:19