网站首页  词典首页


请输入您要查询的字词:

 

字词 弱酸性嫩黄G
类别 中英文字词句释义及详细解析
释义 弱酸性嫩黄G

【别名】 弱酸性黄G。

【国外相应商品名】

Polar Yellow GN(CGY)

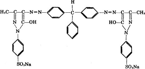
【结构式】

【产品质量标准】 企业标准(上海染化十二厂)。

外观: 淡黄色均匀粉末

色光: 与标准品近似

强度: 为标准品100±3

在羊毛织物上的染色坚牢度: 符合标准品

不溶于水的杂质含量: ≤3%

水分含量: ≤3%

细度(通过60目筛残余物含量): ≤5%

【功能与特点】 能溶于水。染色时遇铜离子色泽较绿暗;遇铬离子、铁离子略有变化。这种染料对丝的牢度比毛差。

【用途和用法】 可用于皮革染色。

【使用注意事项】 贮存于阴凉干燥处,避免日晒,防止受热受潮。

【主要生产厂家】 上海染化十二厂。

随便看

 

离鸟网收录3541549条中英文词条,其功能与新华字典、现代汉语词典、牛津高阶英汉词典等各类中英文词典类似,基本涵盖了全部常用中英文字词句的读音、释义及用法,是语言学习和写作的有利工具。

 

Copyright © 2004-2024 vtrois.com All Rights Reserved
更新时间:2026/4/6 22:28:03