网站首页  词典首页


请输入您要查询的字词:

 

字词 弹性结构的动力分析
类别 中英文字词句释义及详细解析
释义 弹性结构的动力分析

当载荷随时间变化时,节点位移也必将随时间变化,此时应考虑结构质量的惯性力作用以及结构的阻尼特性。根据达朗贝尔原理,将单元惯性力作为体力的一部分,并考虑随速度变化的阻尼力,弹性结构的运动方程可写成:

(1.3-83)

式中 〔M〕总体质量矩阵,由单元质量矩阵〔m〕组集而成;〔C〕总体阻尼矩阵,对于瑞利线性阻尼为:

〔C〕=α〔M〕+β〔K〕 (1.3-84)

系数α和β可以通过测定结构自由振动的衰减率求得;,{U(t)}和{U(t)}分别为总体节点加速度矢量、总体节点速度矢量和总体节点位移矢量。

单元质量矩阵〔m〕的算法有两种:

❶ 一致质量矩阵:

式中 ρ为材料质量密度;〔H〕为单元插值矩阵。单元一致质量矩阵是满矩阵,组集成的总体质量矩阵〔M〕是和总刚矩阵〔K〕一样的带状矩阵,占用很大的存贮量,求解运动方程运算机时多。实际表明,采用一致质量矩阵并没有带来明显的精度提高。一般通用有限元程序都采用集中质量矩阵。

❷ 集中质量矩阵:

它将单元质量ρVn(Vn单元体积、ρ材料质量密度)近似地分配到单元各节点上,形成对角矩阵。由单元集中质量矩阵组集成的总体质量矩阵也是对角矩阵,可以显著节省存贮量和求解运动方程的机时,

3.5.1 弹性结构的无阻尼自由振动

将运动方程中{R(t)}=0和〔C〕=0,得到弹性结构的无阻尼自由振动方程:

(1.3-87)

它是常系数线性齐次常微分方程组,其解为如下形式的简谐运动:

式中 {Φ}是结构的振型;ω是结构的固有频率,将上式代入自由振动方程,消去公共因子sinωt得:

(〔K〕-ω2〔M〕){Φ}=0

求解自由振动方程问题化为寻找满足上式的ω2值和非零矢量{Φ}。这样的问题在数学中你为广义特征值问题。令λ=ω2,λ和{Φ}分别称为特征值和特征矢量。上述齐次线性方程组要有{Φ}的非零解,必须是它的系数行列式等于零,即

|〔K〕-λ〔M〕|=0

在弹性结构动力分析中,〔K〕和〔M〕矩阵的阶数n很大。上述行列式展开成λ的n次代数方程式,要直接求解n个广义特征值λ1,λ2、…λn,显然是不可能的,工程中通常只要求得到若干低频的特征值和特征矢量。现已研究出多种有效的数值近似解法,并编制成标准程序模块。在通用有限元程序中常见的算法有:行列式搜索法(全内存求解)和子空间迭代法(〔N〕和〔M〕分块内外存交换求解)。

3.5.2 弹性结构动力响应计算

在给定初始条件下如何求解运动方程,常用的有两类解法,直接积分法和振型迭加法,

(1)直接积分法

对运动方程按时间步直接进行数值积分求解。它在离散的时步点上要求满足运动方程,而在时步内假定位移、速度和加速度按某种规律变化。不同算法采用不同变化规律。

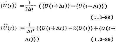
❶ 中心差分法。t时刻节点速度和加速度的中心差分表达式为

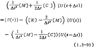
代入运动方程得

由上式求解{U(t+△t)}。一般初始条件给定{U(0)}和,而由t=0时刻运动方程求出,再由(1,3-88)和(1.3-89)式联解得:

循环运用方程(1.3-90)、(1.3-88)和(1.3-89),可以依次求得各个时间步的节点位移、速度和加速度。中心差分法是条件稳定的。稳定性要求时步长△t小于等于极限时步长

其中Tn是结构自由振动的最小周期。

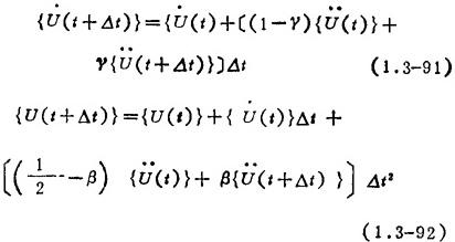
❷ 纽马克Newmark法。它的积分格式是线性加速度法的推广,采用的假定是:

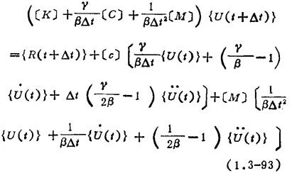
其中γ和β是任选的参数。当γ≥0.5和β≥(2γ+1)2/16时,纽马克法是无条件稳定的。对于线性问题,较好的参数选择是γ=0.5和β=0.25,

由(1.3-91)、(1.3-92)式可导出用{U(t+△t)}为基本未知量表示的t+△t时刻速度矢量和加速度矢量,再代入t+△t时刻的运动方程,得

从t=0时刻开始求解。将给定的初始条件{U(0)}和代入运动方程得。循环运用方程(1.3-93)、(1.3-91)和(1.3-92),可以依次求得各个时间步的节点位移,速度和加速度。

直接积分法还有许多算法,如威尔逊Wilson-θ法,四阶龙格——库塔Runge-Kutta法等。

(2)振型迭加法

先计算部分低阶结构振型{Φ}1、{Φ}2、…{Φ}m,(m《n,n是总刚矩阵阶数),用这些少量的结构振型的线性组合近似表示总体位移矢量{U(t)},即

{U(t)}=〔Φ〕{x(t)} (1.3-94)

式中 {x(t)}是与时间有关的m阶矢量,它的各个分量x1(t),x2(t),…xm(t)称为广义位移;〔Φ〕=〔Φ1Φ2…Φm〕,为振型矩阵,

将(1.3-94)式代入运动方程,再在等式两端左乘〔Φ〕T,得++〔Φ〕T〔K〕〔Φ〕{x(t)}=〔Φ〕T{R(t)}

考虑到振型的正交性质,即

〔Φ〕T〔M〕〔Φ〕=〔I〕

〔Φ〕T〔K〕〔Φ〕=〔Ω〕

式中 〔I〕为m×m单位矩阵;

wl(i=1,2,…m),为结构固有频率。

上式可写成=σ〕T{R(t)}

若采用瑞利阻尼〔C〕=α〔M〕+β〔K〕,则

此时上式化成m个互不耦合的二阶常微分方程:

xl(t)+2ωlξlxl(t)+ω2ixl(t)=γl(t)

i=1,2,…m (1.3-95)

式中称为振型阻尼比。

该方程相当于一个单自由度系统的振动方程,比较容易求解。求得广义位移x1(t),x2(t),…xm(t)后,再代回(1.3-94)式得到{U(t)}。按各时间步t=0△t2△t,…依次求得结构的动力响应。

由于在振型迭加法中略去高频响应,故适用于低频载荷引起的结构动力响应分析。对于冲击等动力问题,激发振型较多,只要计算较短时间的动力响应,通常以采用直接积分法为宜。

随便看

 

离鸟网收录3541549条中英文词条,其功能与新华字典、现代汉语词典、牛津高阶英汉词典等各类中英文词典类似,基本涵盖了全部常用中英文字词句的读音、释义及用法,是语言学习和写作的有利工具。

 

Copyright © 2004-2024 vtrois.com All Rights Reserved
更新时间:2026/4/6 18:38:35