强力、伸长度检验
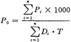
检验丝的强力和伸长度。 a.复丝张力机:量程0~50CN(1kgf=9.8N),附自动记录器,夹口间距为10cm,下夹头下降速度为15cm/min。 b.工业天平:感量0.01g。 检验规程:绞装丝取切断卷取的丝锭10个,筒装丝10筒,按下表规定回数卷取样丝10绞。  操作方法:将平衡后的样丝,称计重量,操作时将丝条理直平行,夹于强力机上进行检验,按下式计算强力成绩。  式中P0——强力(CN); Pi——各绞样丝绝对强力(CN); Di——各绞样丝的纤度D(dtex); T——样丝回数;N——样丝总绞数。 根据强力试验的记录图表,计算受验样丝的伸长率,读数精度为1%。其关系式:  式中 σ——平均伸长率(%); ——各绞样丝断裂伸长率(%); N——样丝总绞数。 强力计算取小数二位,伸长率计算取小数一位。 |