影子价格
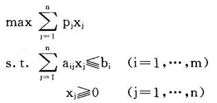
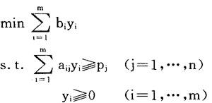
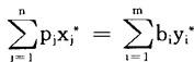
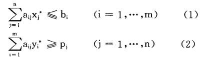
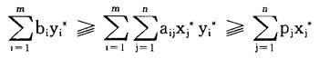
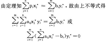
从资源(生产要素)变化引起的产值变化推算出资源对产值的边际贡献。 标准的线性规划问题可写成:  它的对偶问题是  用x*和y*分别记原问题和对偶问题的最优解,则作为线性规划的对偶定理的一部分,可以证明如下结果: 定理。当原问题和对偶问题都存在可行解(即满足约束条件的解)时,则两问题的最优解必存在,且两最优目标函数值相等,即:  在原问题中,如把pj看成第j种产品的价格,xj看成第j种产品的产量,aij表示为了生产一单位第j种产品所必须的第i种资源的投入量,bi看成第i种资源的最大可能供应量,则原问题就可解释为在资源约束下最大化产值的问题。 为了解释对偶问题中最优解y*的经济意义,注意x*和y*分别为两问题的可行解,从而有  分别用yi*和xj*乘(1)和(2)的两边,再加总得   这个等式称为互补松弛条件。对此条件可分以下两种情形讨论: (1)如对某个i有 aijxj*<bi。 这时由互补松弛条件推出yi*=0。这意味著当第i种资源有多余时,这种资源的归属价格(又称影子价格,机会成本)yi*=0。在经济学中称这种资源为自由物品。 (2)如对某个h有Σahjxj*=bh,则由互补松弛条件推得y ≧0。 现把第h种资源的约束从bh变为bh+△bh,△bh为充分小量,则原问题的解从x*变为x*+△x*,从而最优值为Σpj(xj*+△x ),相应地对偶问题的解从y*变为y*+△y*,最优值为 (bi+△bi)(y*+△y*)。由定理知: pi(x +△xj*)= (bi+△bi)(yj*+△yi*) 注意 pjxj*= biyi*并略去高阶项得#pj△xj*= △biyi*。如果仅令第h种资源约束变化一单位,即△bh=1,△bi=0(i≠h),则得y#=Σpj△xj*。这个等式的右边正好是第h种资源变化一单位时最优值的变化量,从而对偶变量y 就是当第h种资源约束bh变化一单位时最优总产值的变化量,称它为第h种资源的影子价格。 如果资源i的影子价格yi*=0,则增加一单位资源不能引起最优总产值的增加;如果资源h的影子价格y >0,则增加一单位资源所引起的最优总产值增量为y 。当资源h的市场价格qh>y 时,厂商应该出售这种资源;当qh<y 时,厂商应该购进这种资源。 因此,对偶变量y 虽然不是资源h的市场价格,但它可看成一种参考价格,这就是影子价格这一名称的由来。 |