网站首页  词典首页


请输入您要查询的字词:

 

字词 微分方程
类别 中英文字词句释义及详细解析
释义 微分方程

(1)线性化

自动控制元件与系统的运动方程常常是非线性的,而用非线性微分方程研究系统的运动规律是很困难的,故尽量对所研究的系统进行线性化处理,然后用线性理论进行分析。对于非线性函数的线性化方法有两种:一种方法是忽略那些比较次要的非线性因素,如小的死区、磁滞和干摩擦等;另一种是小偏差线性化法。

小偏差线性化法是将一个非线性函数y=f(x),在其工作点(x0,y0)展开成台劳级数,然后忽略二次以上的高阶项,就可得到代替原来非线性函数的线性化增量方程。

(A)对具有一个自变量的非线性函数f(x)的小偏差线性化增量方程为

[解] 根据流体力学的节流公式可推得

式中 ql——工作流量(或称负载流量);

Cd——流量系数;

w——滑阀的面积梯度;

xv——阀芯位移;

ρ——油液密度;

ps——工作压力;

pi——负载压力。

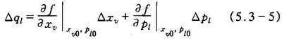
由上式可知,因Cd、w、ρ、ps为常数,故ql是一个取决于xv和pi的双变量非线性函数,因此,它又可写成

ql=f(xv,pl)(5.3-4)

根据式(5.3-2)可得工作流量qi的线性化增量方程

式(5.3-5)可写为

式中

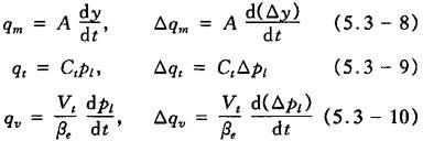
如果以qm表示使活塞移动的流量,以qi表示泄漏流量,以qv表示体积压缩流量,根据液流连续性原理则有

ql=qm+qt+qv

并有 △qi=△qm+△qt+△qv(5.3-7)

而qm、qi、qv及其相应的增量分别为

式中 A——油缸工作面积;

Ct——油缸总泄漏系数;

Vt——滑阀出口至液压缸活塞两腔的总容积;

βe——油的弹性模量。

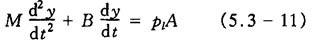
液压缸的力平衡方程为

式中 M——活塞及负载的质量;

B——粘性阻尼系数。

将式(5.3-7)~式(5.3-11)联立,消去中间变量,得活塞位移y对滑阀位移xv的线性化微分方程

当活塞及负载质量M小得可以忽略不计时,则上式可简化成

随便看

 

离鸟网收录3541549条中英文词条,其功能与新华字典、现代汉语词典、牛津高阶英汉词典等各类中英文词典类似,基本涵盖了全部常用中英文字词句的读音、释义及用法,是语言学习和写作的有利工具。

 

Copyright © 2004-2024 vtrois.com All Rights Reserved
更新时间:2026/4/6 17:19:57