德宾-沃森指标
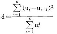
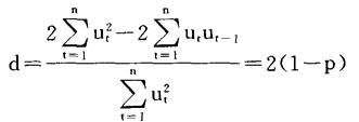
德宾-沃森指标d,可以用下列方程计算:  式中ut代表回归分析中的误差项(即残差),(见“可决系数”辞条)。 d实质上就是残差的第一级差分平方和除以残差平方和的商。 上式可以改写为  在这里,p是各个连续残差的相关系数。如果p=0,表明各个残差相互独立,d将等于2;如果p接近于1,表明各个残差为正序列相关,d将趋向于零;如果p为负值,表明各个残差为负序列相关,d值将增大,并以4为上限,这时残差呈完全负序列相关,p=-1。由此可见,德宾-沃森指标可以用来测定回归分析中、残差出现序列相关现象的程度。 d=2时,说明残差中不存在序列相关,d值偏离2时,说明残差的分布不是随机分布。 |