网站首页  词典首页


请输入您要查询的字词:

 

字词 德宾-沃森检验
类别 中英文字词句释义及详细解析
释义 德宾-沃森检验

简称D-W检验,是检验扰动项是否存在一阶自相关的方法。

由于经济计量模型的自相关大多数是一阶自相关的情况,所以一般把D-W检验作为必要检验,其检验结果常与模型及其他必要检验的结果一起列出。

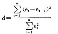
在D-W检验中,检验统计量称为d统计量(或D-W统计量),定义如下:

此处et=Yt-Yt(t=1,2,…,n),是对模型应用普通最小二乘法所得的残差项。

可以证明,当样本容量n较大时,d≈2(1-#),其中#为扰动项一阶自相关系数的估计量。

所以,当d=2时,#=0,扰动项不存在一阶自相关;d=0时,#=1,扰动项存在完全的一阶正自相关;d=4时,#=-1,扰动项存在完全的一阶负自相关。

由此可见,d统计量通常在0~4的范围内取值,当扰动项不存在一阶自相关时,d取值在2左右。

d统计量检验表给出上限dU和下限dL,当

d<dL时,扰动项存在一阶正自相关;

dL<d<dU时,不能确定;

dU<d<4-dU时,扰动项不存在一阶自相关;

4-dU<d<4-dL时,不能确定;

d>4-dL时,扰动项存在负自相关。

注意:(1)计算d统计量时,回归模型必须有截距项,以保证∑et=0。如果是无截距项的模型,就必须把截距项包括在内重新计算;

(2)解释变量必须是非随机变量;

(3)D-W检验正常只表示扰动项不存在一阶自相关,但仍有可能存在其他形式的自相关。

随便看

 

离鸟网收录3541549条中英文词条,其功能与新华字典、现代汉语词典、牛津高阶英汉词典等各类中英文词典类似,基本涵盖了全部常用中英文字词句的读音、释义及用法,是语言学习和写作的有利工具。

 

Copyright © 2004-2024 vtrois.com All Rights Reserved
更新时间:2026/5/25 21:46:20