网站首页  词典首页


请输入您要查询的字词:

 

字词 必需氨基酸指数
类别 中英文字词句释义及详细解析
释义 必需氨基酸指数

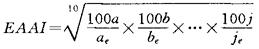
供试蛋白质中10种必需氨基酸与鸡蛋蛋白质相应必需氨基酸之比的几何平均数。

以鸡蛋蛋白质为标准衡量其他蛋白质营养价值的指标。必需氨基酸指数的计算公式为:

式中a、b、…、j为供试蛋白质的必需氨基酸%;ae、be、…、je为鸡蛋蛋白质中相应的必需氨基酸%。

随便看

 

离鸟网收录3541549条中英文词条,其功能与新华字典、现代汉语词典、牛津高阶英汉词典等各类中英文词典类似,基本涵盖了全部常用中英文字词句的读音、释义及用法,是语言学习和写作的有利工具。

 

Copyright © 2004-2024 vtrois.com All Rights Reserved
更新时间:2026/5/30 13:24:46