网站首页  词典首页


请输入您要查询的字词:

 

字词 忍冬藤
类别 中英文字词句释义及详细解析
释义 忍冬藤

【概况】:

异名 老翁须、金钗股、大薜荔、水杨藤、千金藤(《苏沈良方》),鸳鸯草(《墨庄漫录》),鹭鸶藤(《履巉岩本草》),忍冬草(《证治要诀》),左缠藤(《余居士选奇方》),忍寒草(《洪氏集验方》),通灵草、蜜桶藤(《土宿本草》),金银花藤(《丹溪心法》),金银藤(《乾坤生意秘韫》),金银花杆(《滇南本草》),甜藤(《本草述》),右篆藤(《分类草药性》),右旋藤(《贵州民间方药集》),二花秧、银花秧(《河南中药手册》)。

基源 为忍冬科忍冬属植物忍冬的带叶茎藤。忍冬属全世界约200种,中国有100余种。

原植物 忍冬Lonicera japonica Thunb,

历史 古代多用茎,或根、茎、叶、花均可,常用的为茎。

《本草经集注》:“似藤生,凌冬不凋,故名忍冬。”《唐本草注》云:“此草藤生绕覆草木上,苗茎赤紫色,宿者有薄白皮膜,其嫩茎有毛;叶似胡豆,花白紫。”《救荒本草》记:“草附树延蔓而生,茎微紫色,对节生叶,叶似薛荔叶而青,又似水茶臼叶,头微团而软,背颇涩……开花五出,蒂带红色,花初开白色,经一二日则色黄……。”以上所述均为本种。

形态 藤本。

茎中空,老枝棕褐色,呈条状剥裂,幼枝绿色,密被柔毛和腺毛。叶对生;宽披针形、卵形至卵状椭圆形,长3~8cm,宽1.5~4cm,叶端渐尖至钝,叶基近圆形,幼时两面有毛,后则上面无毛;叶柄长5mm。花成对腋生,花梗及花均有柔毛;苞片叶状,卵形,长达2cm,小苞片离生;花萼5齿裂,无毛或有疏毛;花冠唇形,3~4cm,初开时白色有时略带紫色,后转变为黄色,芳香,外被柔毛和腺毛,花冠筒细长几与花冠裂片等长,上唇4浅裂而直立,下唇狭而不裂,反转;雄蕊5,伸出花冠外;子房下位,花柱1稍长于花冠。浆果球形,熟时黑色。

花期4~6月,果期7~10月。(图见《中国高等植物图鉴》.第4册.297页.图6008)

生境与分布 生长于路旁,丘陵、山谷灌丛或疏林中,也有栽培。

分布于中国大部分地区。。

【生药】:

栽培 宜温暖稍干燥的气候,适应性强,耐寒。

适在土层深厚肥沃、排水良好的砂质壤上栽培。多用扦插繁殖,在春季萌芽前或早秋,将1~2年生健壮枝条,剪成30~40cm长段,摘去下部叶片,按行株距1.5×1m开穴,深25~30cm,每穴扦插3~4株,将插条2/3埋入穴中,然后覆土、浇水,保持土壤湿润。

也可在春季或秋季进行分株、压条及种子繁殖。生长期应结合中耕除草,培土2~3次;天旱时需浇水;初冬或早春,在穴周围开环形沟,施以厩肥或堆肥;返青萌芽后及第1次采花后,分别追施氮肥1次;入冬或初春,应整枝修剪,使主干粗壮,通风透光,形成灌木状。病害有炭疽病、锈病,用1∶1∶150波尔多液喷射防治。虫害蚜虫,可用40%乐果乳油1000倍液喷杀。

采集 秋、冬季采割带叶的茎藤,扎成小捆,晒干。药材产于浙江、四川、江苏、河南、陕西、山东、广西、湖南,安徽、甘肃、湖北、江西、福建、山西、云南、辽宁、河北等地也产。

鉴别 茎藤长圆柱形,多分枝,常缠绕成束,直径1.5~6mm;表面棕红色至暗棕色,有的灰绿色,光滑或被茸毛,外皮易脱落,多节,节间长6~9cm,有残叶及叶痕。质脆,易折断,断面黄白色,中空。气微,味淡。以表面色棕红、质嫩带叶者为佳。

贮藏 置通风干燥处。。【化学】:

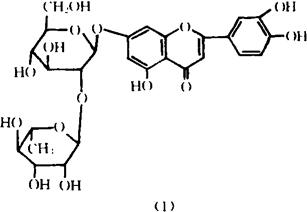
叶含忍冬甙(Lonicerin)(1)[1,2],木犀草素[3]、环烯醚萜甙(Iridoid glucoside)、马钱甙(Loganin)、生物碱Venoterpine、咖啡酸甲酯(Methyl caffeate)、香草酸(Vanillic acid)[4]

忍冬素(Loniceraflavone、4′,5,6,-Trihydroxyflavone)[5]。茎含鞣质,生物碱[2]

参考文献 [1] 药学杂志(日) 1961;81∶558 [2] 医学中央杂志(日) 1967;227∶145 [3] 中草药有效成分的研究第1分册,人民卫生出版社,1972∶397 [4] 生药学杂志(日) 1983;37(3)∶294 [5] 中草药学,下册,江苏科学技术出版社,1980∶1073。

【药理】:

木犀草素在5×10-4g/ml浓度时能降低离体蛙心舒张期幅度,对收缩期幅度轻度降低,心率变慢,心输出量减少。

在2×10-4g/ml浓度时,能增加离体豚鼠心脏的舒张期及收缩期幅度,心率变快,而对冠状动脉及血容量则无直接影响。对犬的心肺装置15~10mg木犀草素可使动脉血压有所增加而降低静脉压。10mg/kg时可使大鼠下肢血流量减少33%。5~15mg/kg(iv),可使猫犬血压升高12~13%,上述作用不能被α-肾上腺素能阻断剂所阻断[1]

木犀草素对兔离体小肠平滑肌有解痉作用,但不及罂粟碱,并有轻度利尿、增加氯化钠排出作用[2]。此种解痉作用在C7位置上较C3位置上所成之甙更为有效[3]。此外木犀草素在体外浓度为1∶350,000时能抑制葡萄球菌及枯草杆菌的生长[4]

参考文献 [1] Arzneim-Forsch 1957;7∶442 [2] CA 1963;58∶14589g [3] CA 1964;61∶3571d [4] CA 1956;50∶5247c

【药性】:

性味 甘,寒。

❶ 《别录》:“甘,温。”
❷ 《药性论》:“辛。”
❸ 《本草拾遗》:“小寒。”
❹ 《本草再新》:“甘、苦,微寒。”

归经 入心、肺经。 ❶ 《要药分剂》:“入肺经。”
❷ 《本草再新》:“入心、肺二经。”

功效 清热,解毒,通络。

主治 温病发热,热毒血痢,传染性肝炎,痈肿疮毒,筋骨疼痛。 ❶ 《别录》:“主寒热身肿。”
❷ 陶弘景:“煮汁以酿酒,补虚疗风。”
❸ 《药性论》:“主腹胀满,能止气下澼。”
❹ 《本草拾遗》:“主热毒血痢水痢。”
❺ 《履巉岩本草》:“治筋骨疼痛。”
❻ 《滇南本草》:“宽中下气,消痰,祛风热,清咽喉热痛。”
❼ 《纲目》:“治一切风湿气及诸肿毒。痈疽疥癣,杨梅恶疮,散热解毒。”
❽ 《本草再新》:“治心虚火旺,补气宽中,咳嗽,痈痿。”
❾ 《南京民间药草》:“茎叶及花对眼睛发炎时有疗效。”
❿ 《贵州民间方药集》:叶:外敷治刀伤。” ⑾广州部队《常用中草药手册》:“治湿热腿痛。”

用法用量 内服:煎汤,9~30g;入丸、散或浸酒。外用:煎水熏洗、熬膏贴或研末调敷。。

【临床应用】:

配伍应用 ❶ 配秦艽、黄柏,治风湿热邪痹阻经络,关节红肿热痛。

❷ 配桑枝,治风湿痹痛,关节酸痛。
❸ 配甘草,治热毒痈疽。
❹ 配金银花,治温病初起,邪在卫分者,或外感风热,以致发热恶风,咽喉肿痛,四肢酸楚,疮疡红肿诸症。
❺ 配野菊花、蒲公英,治疮疖肿痛。

方选和验方 ❶ 神效托里散(《局方》)治痈疽发背,肠痈,奶痈,无名肿痛,憎寒壮热,类若伤寒:忍冬草(去梗)、黄芪(去芦)各150g,当归36g,甘草(炙)240g。上为细末,每服6g,酒450ml,煎至300ml。

若病在上食后服,病在下食前服,少顷再进第2服,留渣外敷,未成脓者内消,已成脓者即溃。
❷ 神仙一醉忍冬汤(《疡医大全》)治肿疡初起,红肿疼痛,发热无汗:忍冬藤、蒲公英各30g,没药、乳香、雄黄各6g。

用酒1000ml浸泡,煮千余沸,再加白蜜120g,生葱7根,同煮片刻,去葱。

饮醉为度,另再食大蒜适量。
❸ 忍冬酒(《外科精要》)治一切痈疽:忍冬藤(生取)150g,大甘草节30g。上用水600ml,煎300ml,入无灰好酒300ml,再煎数沸,去滓。

分3服,1昼夜用尽,病重昼夜2剂,至大小便利为度;另用忍冬藤60g研烂,酒少许敷四周。
❹ 忍冬膏(《乾坤生意秘韫》)治诸般肿痛,金刃伤疮,恶疮:金银藤120g,吸铁石9g,香油500g。熬枯去滓,入黄丹240g,待熬至滴水不散,如常摊用。
❺ 忍冬藤煎酒(《景岳全书》)治痈疮初发,关节红肿热痛:忍冬藤150g,生甘草10g。先取60g忍冬叶入砂盆研烂,入酒少许和匀成膏,再将忍冬藤、生甘草入砂锅内,加清水600ml,文武火煎至300ml,入好米酒350ml,再煎10数沸,去渣,分为3服,将药膏调涂患处四周,留头。早、午、晚将3份药酒服尽,病重者1天可服2剂。

❻ 忍冬连皂方(《中国中医秘方大全》)治肌肉深部脓肿(针毒流注):忍冬藤60g,连翘60g,皂刺10g,当归20g,赤芍10g,水蛭5g,羌活6g,生甘草3g。水煎服。

❼ 复方忍冬藤煎(《中国中医秘方大全》)治急性阑尾炎性腹膜炎:忍冬藤60g,蒲公英30g,败酱草60g,青黛12g,冬瓜仁30g,生薏仁30g,木香10g,生大黄30g(后入)。每日1剂,煎后分4次服。
❽ 降板汤(《中国中医秘方大全》治原发性血小板增多症:忍冬藤25g,连翘20g,柴胡15g,丹皮15g,夏枯草15g,当归10g,川芎7.5g,生地30g,白芍15g,地骨皮15g,知母15g,甘草5g,鳖甲20g。水煎服,另用犀角末1.5g单煎。

❾ 《贵州中草药验方选》:“治尿路感染:银花藤、马鞭草、木通及车前草各15g,天泡果、金钱草各6g(均用鲜品)。水煎。每日服3次,每日1剂。

” ⑽《山东中药》:“治风湿性关节炎:忍冬藤30g,豨莶草12g,鸡血藤15g,老鹳草15g,白薇12g。水煎服。” ⑾《贵州中草药验方选》:“治百日咳:银花藤或银花6~9g,白茅根6g,扛板归15g。水煎,每日服2次,每日1剂。” ⑿成都中医学院学报 1980;(4):“预防钩端螺旋体病:银花藤60g,连翘30g,白茅根60g,藿香12g。每日1剂,3次分服。

” ⒀江苏中医杂志 1983;(5):“治疗慢性肝炎:忍冬藤60g,白茅根60g,玄参30g,当归15g,生甘草10g,生黄芪30g,升麻15g,土茯苓30g。每日1剂,水煎服,1个月为1疗程。” ⒁中医杂志 1988;(2):“治单纯抗链“O”增高:忍冬藤、蚕沙各20g,为主药,随症酌情配伍防风15g,薏苡仁15g,黄芪25g,秦艽15g,川芎10g,鸡血藤15g等药中的2~3味。每日1剂,连服20剂。” ⒂双藤汤(浙江中医杂志 1989;(10))治急性菌痢:忍冬藤25~50g,红藤50~100g。

每天1剂,水煎2汁混和(药液要求500ml以上),分4~6次服,小儿酌减,腹泻停止后续服2~3天。

⒃忍杏升降汤(浙江中医杂志 1990;(9))治小儿感冒高热:忍冬藤15g,光杏仁、炙僵蚕各8g,净蝉衣、炒枳壳各5g,生甘草3g。

2岁以下,每日1剂,每剂2次,3岁以上,每日1~2剂,2~4小时服1次。 ⒄三藤消肿汤(山东中医杂志 1990;(5))治四肢损伤(单纯软组织损伤及骨折者,于手法整复外固定后或手术后1周内,均内服三藤消肿汤):忍冬藤、红藤、鸡血藤、蒲公英各30g,川牛膝15g,泽兰12g,桃枝12g,赤芍12g,甘草6g,地骨皮12g。水煎日服1剂。 ⒅四藤二丹汤(浙江中医杂志 1991∶(10))治慢性肾炎:忍冬藤、络石藤、天仙藤、海风藤、丹参、丹皮。

水煎服,每日1剂。

单方应用 ❶ 《泉州本草》:“治四时外感,发热口渴,或兼肢体酸痛者:忍冬藤(带叶或花,干品)30g(鲜品90g),煎汤代茶频饮。”
❷ 《圣惠方》:“治热毒血痢:忍冬藤浓煎饮。”
❸ 《余居士选奇方》:“治恶疮不愈:左缠藤60g,捣烂,入雄黄1.5g,水400ml,瓦罐煎之。以纸封七重,穿一孔,待气出,以疮对孔熏之,三时久,大出黄水后,用生肌药取效。亦治轻粉毒痈。”
❹ 《证治要诀》:“治疮久成漏:忍冬,鲜金银花嫩茎叶适量,用冷开水洗净,嚼细服下。”
❺ 陕西新医药 1972;(3):“治传染性肝炎:取忍冬藤60g,加水1000ml,煎至400ml,早晚分服。15天为1疗程,每疗程间隔1~3天。”

食疗 《证治要诀》:“治疮久成漏:忍冬藤浸酒,常服。”。【医药家论述】:

❶ 李时珍《纲目》:“忍冬藤叶及花功用皆同,昔人称其治风,除胀,解痢为要药,而后世不复知用;后世称其消肿、散毒、治疮为要药,而昔人并未言及,乃知古今之理,万变不同,未可一辙论也。按陈自明《外科精要》云:“忍冬酒治痈疽发背,初发便当服此,其效甚奇,胜于红内消。洪迈、沈括诸方所载甚详。”
❷ 高世栻《医学真传》:“余每用银花,人多异之,谓非痈毒疮疡,用之何益?夫银花之藤,乃宣通经脉之药也。……通经脉而调气血,何病不宜,岂必痈毒而后用之哉。”
❸ 张山雷《本草正义》:“忍冬,《别录》称其甘温,实则主治功效,皆以清热解毒见长,必不可以言温,故陈藏器谓为小寒,且明言其非温;甄权则称其味辛,盖惟辛能散,乃以解除热毒,权说是也。今人多用其花,实则花性轻扬,力量甚薄,不如枝蔓气味俱厚。

古人只称忍冬,不言为花,则并不用花入药,自可于言外得之。观《纲目》所附诸方,尚是藤叶为多,更是明证。

《别录》谓主治寒热身肿,盖亦指寒热痈肿之疮疡而言,与陈自明《外科精要》之忍冬酒、忍冬圆同意,非能泛治一切肿胀。

甄权谓治腹胀满,恐有误会;虽味辛能散,而性本寒凉,必非通治胀满之药。甄权又谓能止气下澼,则热毒蕴于肠府之澼积滞下,此能清之,亦犹陈藏器谓治热毒血痢耳。藏器又谓治水痢,则谓大便自利之水泄,惟热痢或可用之,而脾肾虚惫之自利,非其所宜。

濒湖谓治诸肿毒,痈疽疥癣,杨梅诸恶疮,散热解毒。则今人多用其花,寿颐已谓不如藤叶之力厚,且不仅煎剂之必须,即外用煎汤洗涤亦大良。随处都有,取之不竭,真所谓简、便、贱三字毕备之良药也。


❹ 严洁等《得配本草》:“甘平,微寒,入足阳明、太阴经,去风火,除胀气,解热痢,消肿毒,得黄芪、当归、甘草托痈疽;得粉草,解热毒下痢;研末调糖常用,能稀痘;研烂拌酒,敷疮毒;煎取浓汁,和温酒服,治五种尸疰。藤叶皆可用,花尤佳,酒煮服,捣汁,和酒饮亦可。”

随便看

 

离鸟网收录3541549条中英文词条,其功能与新华字典、现代汉语词典、牛津高阶英汉词典等各类中英文词典类似,基本涵盖了全部常用中英文字词句的读音、释义及用法,是语言学习和写作的有利工具。

 

Copyright © 2004-2024 vtrois.com All Rights Reserved
更新时间:2026/5/30 20:10:11