网站首页  词典首页


请输入您要查询的字词:

 

字词 快速傅立叶变换
类别 中英文字词句释义及详细解析
释义 快速傅立叶变换

11.3.1 有限离散傅立叶变换的不同形式

见表1.1-17。

表1.1-17 有限离散傅立叶变换的不同形式

11.3.2 快速傅立叶变换算法

快速傅立叶变换算法(简称FFT算法),是计算有限离散傅立叶变换的快速方法。

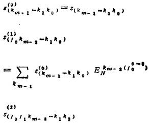
❶  复序列的FFT算法。计算复序列{zk}(k=0,1,…,N-1)的有限离散傅立叶变换(hd=),就是计算形如

的有限项和。对于反演公式,计算方法类似。

又设 k=(km-1…k1k0)=km-12m-1+…+k1·2+k0

j=(jm-1…j1j0)=jm-12m-1+…+j1.2+j0

分别是k和j的二进制表示,kp,jp取值为0或1,ρ=0,1,2,…,m-1。

复序列{zk}计算的递推公式为

并且有

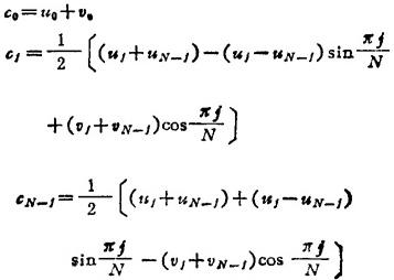
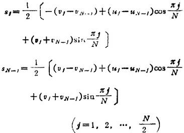
❷ 实序列的FFT算法。设有2N(N=2m)个元素构成的实序列{ηk}(k=0,1,2,…2N-1),要计算{ηk}的有限离散傅立叶余弦变换和正弦变换

可先用EFT算法关于复序列zk=xk+iyk(xk2k,yk2k+1)计算

而cj,sj用下列公式计算

cj,sj当j=N,N+1,…,2N-1时的数值分别为

cN=uN-vN,sN=0

c2N-j=cj,s2N-f=-sj(j=1,2,…,N-1)

随便看

 

离鸟网收录3541549条中英文词条,其功能与新华字典、现代汉语词典、牛津高阶英汉词典等各类中英文词典类似,基本涵盖了全部常用中英文字词句的读音、释义及用法,是语言学习和写作的有利工具。

 

Copyright © 2004-2024 vtrois.com All Rights Reserved
更新时间:2026/5/26 12:29:43