网站首页  词典首页


请输入您要查询的字词:

 

字词 性能特性
类别 中英文字词句释义及详细解析
释义 性能特性

(1)性能要求

对节流阀和单向节流阀的性能要求是:

·流量调节范围大,流量—压差变化平滑;

·内泄漏量小,对有外泄漏口者,外泄漏量也要小;

·压力损失小,对单向节流阀,正向和反向压力损失都要小;

·调节力矩小,动作灵敏。

(2)节流口形式及特征

节流口是节流阀的核心,节流口形式及其特性在很大程度上决定著流量控制阀的性能。几种常用的节流口形式及其特征如表15.2-1所示。

表15.2-1 节流口形式及其特征

免使流体在层流状态下流动;而是要尽可能使节流口

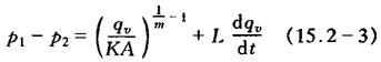
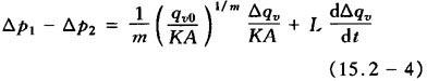
由图15.2-3可知,节流阀流量的稳定性与节流口形状、节流压差以及油液温度等因素有关。

压差变化对流量稳定性的影响 当节流口前后压差变化时,通过节流阀的流量将随之改变,节流阀的这种特性可用节流刚度(d△p/dqv)来表征。由式(15.2-1)可得

节流阀的节流刚度越大,流量稳定性越好,用于液压系统时所获得的负载特性也越好。由式(15.2-2)可知:

·节流阀刚度与节流口压差成正比,压差越大,刚度就越大;

·当节流口压差一定时,节流阀刚度与流量成反比,通过节流口的流量越小,刚度也越大;

·系数m越小,节流阀刚度越大。因此,为了获得较小的系数m,应尽量避免采用细长孔节流,即避形式接近于薄壁孔,也就是说使流体在节流口处的流动处在紊流状态,以获得较好的流量稳定性。

油温变化对流量稳定性的影响 当开口度不变时,若油温升高,油液粘度会降低,流量也将随之增大。为了减少油温变化对流量稳定性的影响,可采用薄刃式节流口。这是由于流体流过薄刃式节流口时为紊流状态,其流量与雷诺数无关,即不受油液粘度变化的影响;节流口形式越接近于薄壁孔,流量稳定性就越好。

阻塞对流量稳定性的影响 节流口的阻塞是指节流阀在小开度下工作时,所出现的流量不稳定和断流现象。防止节流口阻塞的措施是:

·采用大水力半径的薄刃式节流口;

·选用适当的压差,一般取△p=0.2~0.3MPa。因为压差太大,能量损失大,将会引起流体通过节流口时的温度升高,从而加剧油液氧化变质而析出各种杂质,造成阻塞;此外,当流量相同时,压差大的节流口所对应的开口量小,也易引起阻塞。若压差太小,又会使节流口的刚度降低,造成流量的不稳定。

·采用不易产生极化分子的油液,并控制油液温度的升高,以防止油液过快地氧化和极化。

·构成节流口各零件的材料应尽量选用电位差较小的金属,以减小吸附层的厚度。

·精密过滤油液。在节流阀前设置单独的精滤装置,为了除去铁屑和磨料,可采用磁性过滤器。油液也要定期更换。

(B)流量调节范围和最小稳定流量

节流阀的流量调节范围和最小调节流量与节流口的形式、特征及抗阻塞能力是密切相关的,节流口的这些性能及其之间的关系如表15.2-2所示。

表15.2-2 节流口性能及其关系

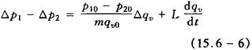
B.动态特性

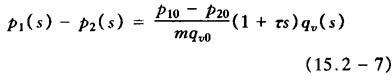
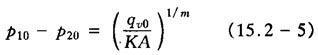
由式(15.2-1),并考虑节流阀流道中的液感L,节流阀前后的总压差为

对上式线性化后的增量式为

式中 qv0——通过节流阀流量的稳态值。考虑到稳态下存在著如下关系

式中 p10、户20——节流阀进、出口压力的稳态值。

故增量式可简化为

对上式进行拉氏变换并整理得

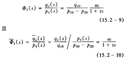
式中 τ——节流阀的时间常数

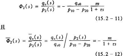
当节流阀出口压力恒定时,p2(s)=0,节流阀的传递函数为

同样,当节流阀进口压力恒定时,p1(s)=0,节流阀的传递函数为

由式(15.2-11)和(15.2-12)可知,节流阀的传递函数由一个放大环节和一个惯性环节组成。惯性环节对高频干扰有过滤作用,当系统中出现频率高于ω=1/τ(ω为节流阀的固有角频率)的压力波动时,节流阀的输出有很大衰减,所以节流阀有制止高频脉动的作用。另外,由于惯性环节有时间常数,使节流阀对系统中的阶跃输入(如出口压力突变)有滞迟作用,故节流阀又可以缓和液压冲击。

随便看

 

离鸟网收录3541549条中英文词条,其功能与新华字典、现代汉语词典、牛津高阶英汉词典等各类中英文词典类似,基本涵盖了全部常用中英文字词句的读音、释义及用法,是语言学习和写作的有利工具。

 

Copyright © 2004-2024 vtrois.com All Rights Reserved
更新时间:2026/4/7 8:34:02