网站首页  词典首页


请输入您要查询的字词:

 

字词 总体分布的估计
类别 中英文字词句释义及详细解析
释义 总体分布的估计

利用样本的累积频率分布图,可以对总体的相应情况进行估计,当样本容量无限增大,分组组距无限缩小时,频率分布直方图就会趋近于一条光滑曲线——总体密度曲线,相应地,累积频率分布图也会趋近于一条光滑曲线——累积频率分布曲线,如图,它反映了总体的累积分布规律,即曲线上任意一点P(a,b)的纵坐标b,表示总体取小于a的值的概率.

1.若总体密度曲线就是或近似地是函数的图象,则其分布叫正态分布,常记作N(μ,σ2),其中μ,σ(σ>0)分别表示总体的平均数与标准差.f(x)的图象称为正态曲线.

2.正态曲线具有两头低、中间高、左右对称的基本特征.

正态曲线具有以下性质:

(1)曲线在x轴上方,与x轴不相交.

(2)曲线关于直线x=μ对称.

(3)曲线在x=μ时位于最高点

(4)当x<μ时曲线上升;当x>μ时,曲线下降,并且当曲线向左、右两边无限延伸时,以x轴为渐近线,向它无限靠近.

(5)当μ一定时,曲线的形状由σ确定,σ越大,曲线越矮胖,表示总体的分布越分散;σ越小,曲线越瘦高,表示总体的分布越集中.

3.函数的图象称为标准正态曲线.

当μ=0,σ=1时,正态总体称为标准正态总体,记作N(0、1).

4.标准正态总体在任一区间(x1,x2)内取值的概率

5.对任一正态总体N(μ,σ2),取值小于x的概率

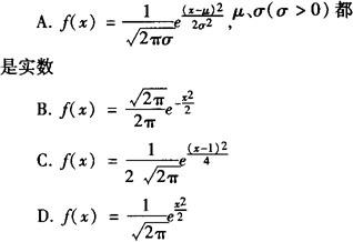
例1 下列函数是正态密度函数的是( ).

解 仔细对照正态分布密度函数f(x),注意指数上的部分的σ和系数的分母上σ要一致,以及指数部分是一个负数.

A错在正确的函数的系数分母的二次根式不包含σ的,而且指数部分的符号应当是负的,B是正态分布N(0,1)的密度分布函数,C对照,从系数看σ=2,可是从指数部分看,不正确,D错在指数部分缺少一个负号,∴应选B.

我们一定要小心识别各种函数是不是正态分布密度函数,不能貌似相似就认定是正态分布密度函数.

例2 关于正态曲线性质的叙述:

(1)曲线关于直线x=μ对称,这个曲线在x轴上方.

(2)曲线关于直线x=σ对称,这个曲线只有当x∈(—3σ,3σ)时才在x轴上方.

(3)曲线关于y轴对称,因为曲线对应的正态密度函数是一个偶函数.

(4)曲线在x=μ时处于最高点,由这一点向左右两边延伸时,曲线逐渐降低.

(5)曲线的对称轴由μ确定,曲线的形状由σ确定.

(6)σ越大,曲线越“矮胖”,σ越小,曲线越“瘦高”.

上述说法正确的是( ).

A.只有(1)(4)(5)(6)

B.只有(2)(4)(5)

C.只有(3)(4)(5)(6)

D.只有(1)(5)(6)

解正态曲线是一条关于直线x=μ对称,在x=μ时处于最高点并由该点向左右两边延伸逐渐降低的曲线,该曲线总是位于x轴上方,曲线的形状由σ确定,而且比较若干不同的σ对应的正态曲线,可以发现σ越大,曲线越“矮胖”,σ越小,曲线越“高瘦”.答案是A.

正态曲线的这些简单性质是要熟练掌握并且能够应用的,尤其是对称性、最高点的位置、曲线向横轴左右无限延伸时逐渐降低.

例3 设连续型随机变量ξ~N(μ,σ2),则其密度函数P(x)的最大值为__.

解 由于ξ~N(μ,σ2),所以其密度函数为.从而根据性质:曲线关于x=μ,并且在x=μ处达到最高点,即P(x)的最大值是答案为

例4 求使得下列各式成立的x

(1)Φ(x)=0.5;

(2)Φ(x)=0.95;

(3)Φ(x)=0.10.

解 (1)x=0;

(2)由于Φ(1.64)=0.9495,

Φ(1.65)=0.9505,所以取x≈1.64;

(3)由于,所以x<0,而Φ(x)=1—Φ(—x),所以

Φ(—x)=0.90,

由于Φ(1.28)=0.8997,

Φ(1.29)=0.9015.

故取—x≈1.28,x=—1.28.

相关关系 自变量取值一定时,因变量的取值带有一定随机性的两个变量之间的关系叫做相关关系,与函数关系不同,相关关系是一种非确定性关系.

回归分析 对具有相关关系的两个变量进行统计分析的方法叫回归分析.

散点图 表示具有相关关系的两个变量的一组数据的图形叫做散点图.

回归直线方程

,相应的直线叫做回归直线,对两个变量所进行的上述统计分析叫做线性回归分析.

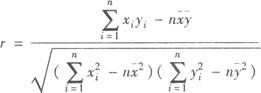
叫做变量y与x之间的相关系数.

例 下列两个变量之间的关系哪个不是函数关系( ).

A.角度和它的余弦值

B.正方形边长和面积

C.正n边形的边数和顶点角度之和

D.人的年龄和身高

解 函数关系就是一种变量之间有确定性的关系.A、B、C都是函数关系,甚至可以写出它们的函数表达式为f(θ)=cosθ,g(a)=a2,h(n)=nπ—2π.

D不是函数关系,对于年龄确定的人群,仍可以有不同身高的人,故应选择D.

函数关系未必都能写出函数表达式,例如对于自变量n,因变量为不超过n的素数的个数.

随便看

 

离鸟网收录3541549条中英文词条,其功能与新华字典、现代汉语词典、牛津高阶英汉词典等各类中英文词典类似,基本涵盖了全部常用中英文字词句的读音、释义及用法,是语言学习和写作的有利工具。

 

Copyright © 2004-2024 vtrois.com All Rights Reserved
更新时间:2026/4/7 16:33:10