网站首页  词典首页


请输入您要查询的字词:

 

字词 总和生育率
类别 中英文字词句释义及详细解析
释义 总和生育率

一定时期(如某年)各年龄组妇女生育率的总计数。

其计算公式是:总和生育率=各年龄组妇女生育率的简单算术和。或写作:

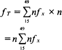
如果是n岁一组的分年龄生育率,计算总和生育率,其公式如下:总和生育率=年龄别生育率之总和×年龄组距。或写作:

总和生育率说明,每千名妇女如果按照某年的各年龄组妇女生育水平度过其一生的生育过程,可能生育的小孩数。它与一般生育率(又称总生育率)不同,一般生育率是各年龄妇女生育率的加权算术平均数,它受育龄妇女年龄构成的影响。总和生育率则不受年龄构成影响,它的水平的高低与一定时期和一定地区的社会经济条件有著密切的联系。

随便看

 

离鸟网收录3541549条中英文词条,其功能与新华字典、现代汉语词典、牛津高阶英汉词典等各类中英文词典类似,基本涵盖了全部常用中英文字词句的读音、释义及用法,是语言学习和写作的有利工具。

 

Copyright © 2004-2024 vtrois.com All Rights Reserved
更新时间:2026/5/27 11:09:18