网站首页  词典首页


请输入您要查询的字词:

 

字词 总用电量的计算
类别 中英文字词句释义及详细解析
释义 总用电量的计算

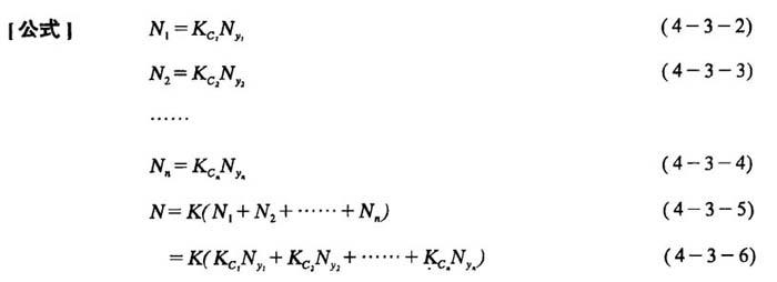
式中 N1、N2、Nm——分别表示1、2、n类用电设备的计算容量(kW)

Ny1、Ny2、Nyn——分别表示1、2、n类用电设备的装机容量(备用设备不计入)(kW)

Kc1、Kc2、Kcn——分别表示1、2、n类用电设备的需要系数

N——全厂的总用电负荷(kW)

K——表示参差系数,一般中、小纸厂K=0.8~0.9

表4-3-1 制浆造纸厂设备需要系数Kc及功率因数cosφ

随便看

 

离鸟网收录3541549条中英文词条,其功能与新华字典、现代汉语词典、牛津高阶英汉词典等各类中英文词典类似,基本涵盖了全部常用中英文字词句的读音、释义及用法,是语言学习和写作的有利工具。

 

Copyright © 2004-2024 vtrois.com All Rights Reserved
更新时间:2026/4/8 17:24:25