网站首页  词典首页


请输入您要查询的字词:

 

字词 总量指标的推算法
类别 中英文字词句释义及详细解析
释义 总量指标的推算法

有些总量指标,由于条件所限,不能直接取得数据,需要采取一定的方法加以推算,这种方法即为总量指标推算法。

推算总量指标的方法主要有:

1.平衡关系推算法。 利用各相关指标的平衡关系,来推算未知指标的方法。例如,利用商品购、销、调、存的平衡关系,可以推算出商品流转中的某个总量指标。

某商品的销售总量=期初库存+本期购进-期末库存

2.因素关系推算法。

利用事物的因果关系,根据已知的因素资料,来推算未知的有关总量指标的方法。这种方法只能用于那些可受若干因素影响而变动的某些社会经济指标。例如,利用流动资金运转速度(天数),来推算社会商品销售收入。

社会商品销售总收入=流动资金平均余额×流动资金运转天数

3.比例关系推算法。

利用某种指标、与其相关指标的比例关系资料,来推算整个指标的总量或估算不同时期、地点、单位某项指标的方法。例如,已知某地1985年国民生产总值中农业总产值为5000万元,占国民生产总值的25%,就可以计算出该地区的国民生产总值。

当用来推算不同时期、不同地点的某项指标时,如用上例中的比例来推算1986年数值时,就要注意审核用作推算依据的有关资料的同类性和可比性。

4.插值推算法。

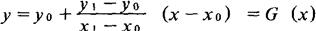
根据若干已知项目对应关系的统计数值,估算未知项目对应关系的数值,或根据动态数列和变量数列的若干已知对应数值,估算其数列中间所缺的未知对应数值。例如,已知甲、乙两地集体和个体所有制工商所得税和营业额资料如下:

现在掌握丙地区所得税为450万元,则可用两点式的直线方程:

求相应的营业额近似值。将上表有关数字代入上式,则:

即丙地区营业额近似值为3125万元。

5.抽样推算法。

通过已经获得的“样本”(抽样调查方法中研究对象的全部单位中被抽出来作为调查对象的全部单位),推算所需要计算的总体指标。例如,我国粮食总产量除采用全面统计方法外,还采用抽样调查的方法,来推算社会总产量。

还有像产品质量检查,某些疾病的发病率、死亡率等,一般均采用抽样调查的方法来推算总量指标。如果根据过去已知的抽样资料来推算现在的总量,则应注意对这些“样本”数的修正,或利用过去的修正系数来估算。

随便看

 

离鸟网收录3541549条中英文词条,其功能与新华字典、现代汉语词典、牛津高阶英汉词典等各类中英文词典类似,基本涵盖了全部常用中英文字词句的读音、释义及用法,是语言学习和写作的有利工具。

 

Copyright © 2004-2024 vtrois.com All Rights Reserved
更新时间:2026/4/5 18:31:20