网站首页  词典首页


请输入您要查询的字词:

 

字词 恩拉霉素
类别 中英文字词句释义及详细解析
释义 恩拉霉素

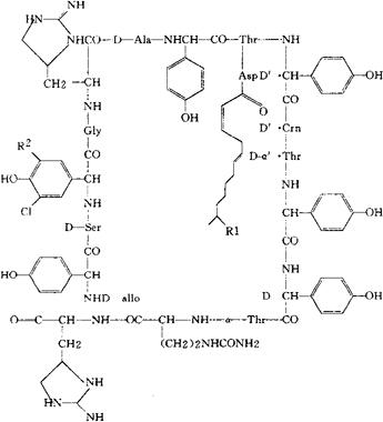
C107H138Cl2N26O31=2355.33

CAS-11115-82-5

本品系由Streptomyces fungicidicus B 5477或由其他(同样)方法产生。

Antibiotic obtained from cultures of Streptomyces fungicidicus B 5477,or the same substance produced by any other means.

抗生素类药。用于耐药金葡菌、链球菌、肺炎球菌引起的感染,如深部或浅部化脓性疾病、支气管炎、支气管扩张、肺炎、肺气肿、肺脓疡、脓胸、尿路感染、中耳炎等,对儿童呼吸系统感染效果较好。恩迪拉霉素,持久霉素。

Enramycin,Enradin.

INN,USAN.

随便看

 

离鸟网收录3541549条中英文词条,其功能与新华字典、现代汉语词典、牛津高阶英汉词典等各类中英文词典类似,基本涵盖了全部常用中英文字词句的读音、释义及用法,是语言学习和写作的有利工具。

 

Copyright © 2004-2024 vtrois.com All Rights Reserved
更新时间:2026/4/9 12:01:22