网站首页  词典首页


请输入您要查询的字词:

 

字词 恩波维铵
类别 中英文字词句释义及详细解析
释义 恩波维铵

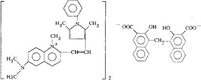
C75H70N6O6=1151.41

CAS-3546-41-6

6-二甲氨基-2-[2-(2,5-二甲基-1-苯基-3-吡咯基)-烯乙基]-1-甲基喹啉鎓双羟萘酸盐。

6-Dimethylamino-2-[2-(2,5-dimethyl-1-phenylpyrrol-3-yl)vinyl]-1-methylquinolinium pamoate(2∶1).

抗寄生虫病药。用于蛲虫感染。

扑蛲灵。

Pyrvinium Pamoate,Pyrvinium Embonate,Viprynium Embonate,Povan.

扑蛲灵片。

BAN,BP,DCF,USAN,USP,MI.

随便看

 

离鸟网收录3541549条中英文词条,其功能与新华字典、现代汉语词典、牛津高阶英汉词典等各类中英文词典类似,基本涵盖了全部常用中英文字词句的读音、释义及用法,是语言学习和写作的有利工具。

 

Copyright © 2004-2024 vtrois.com All Rights Reserved
更新时间:2026/4/7 23:14:11