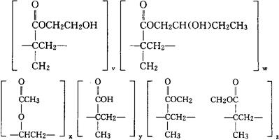
戈伐非康A
(C6H10O3)v(C8H14O3)w(C4H6O2)x(C4H6O2)y(C10H14O4)z CAS-131517-13-0 2-甲基丙烯酸2-羟基乙酯与2-甲基-2-丙烯酸,乙烯基乙酸,2-甲基-2-丙烯酸和1,2-乙二基双(2-甲基-2-丙烯酸)的(±)-2-羟丁酯共聚物。 2-Methyl-2-propenoic acid,2-hydroxyethyl ester,polymer with(±)-2-hydroxybutyl 2-methyl-2-propenoate,ethenylacetate,2-methyl-2-propenoic acid and 1,2-ethanediyl bis(2-methyl-2-propenoate). 异丁烯酸2-羟乙酯与(±)-2-羟基丁基-异丁烯酸酯,乙烯基乙酸酯,异丁烯酸和乙烯二异丁烯酸酯的聚合物。 2-Hydroxyethyl methacrylate polymer with(±)-2-hydroxybutyl methacrylate,vinyl caetate,methacrylic acid and ethylene dimethacrylate. 隐形眼镜材料(亲水性)。 Govafilcon A. USAN.  |