网站首页  词典首页


请输入您要查询的字词:

 

字词 成卷膜片的重量
类别 中英文字词句释义及详细解析
释义 成卷膜片的重量

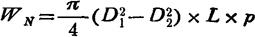
一卷膜片的重量或一已知重量的径向卷层厚度,可根据古特(Gut)所证实的下列公式近似地确定。

膜卷净重的确定:

特定重量卷绕厚度的确定:

式中:WN=成卷塑料膜片的净重(公斤或磅)

D1=膜卷的外径(厘米或时)

D2=卷芯的直径(厘米或时)

L=膜卷的宽度(厘米或时)

p=塑料膜片的比重(公斤/厘米3或磅/吋2)

t=塑料膜片的厚度(毫米或密耳)

w=塑料膜片单位面积的重量(公斤/米2或磅/码2)

c=103(公制单位)=1.296(英制单位)。

随便看

 

离鸟网收录3541549条中英文词条,其功能与新华字典、现代汉语词典、牛津高阶英汉词典等各类中英文词典类似,基本涵盖了全部常用中英文字词句的读音、释义及用法,是语言学习和写作的有利工具。

 

Copyright © 2004-2024 vtrois.com All Rights Reserved
更新时间:2026/4/6 21:29:45