网站首页  词典首页


请输入您要查询的字词:

 

字词 成形弧长的计算
类别 中英文字词句释义及详细解析
释义 成形弧长的计算

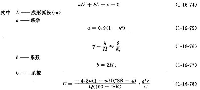
【说明】 成形弧长L可用一元二次方程式进行计算。

【公式】

其它符号含义及单位同上

随便看

 

离鸟网收录3541549条中英文词条,其功能与新华字典、现代汉语词典、牛津高阶英汉词典等各类中英文词典类似,基本涵盖了全部常用中英文字词句的读音、释义及用法,是语言学习和写作的有利工具。

 

Copyright © 2004-2024 vtrois.com All Rights Reserved
更新时间:2026/4/7 0:13:45