网站首页  词典首页


请输入您要查询的字词:

 

字词 成本的摊销法与支出发生法
类别 中英文字词句释义及详细解析
释义 成本的摊销法与支出发生法

当成本按发生时间计入时,被称为支出发生法;当成本分摊在机器的使用寿命期内时,称为成本摊销法。

其中成本摊销法又可以分为以下几种情况:第一,平均法,包括平均年限法和工作量法。平均年限法是按预计的使用年限平均分摊成本,平均年摊销额等于机器的成本和机器的预计使用年限之比(假设机器使用寿命截止时残值为零)。第二工作量法是按规定的总工作量(总工作小时、总工作台班、总行驶里程等)分摊机器的成本,常运用于某些价值很大,生产变化大的设备;平均单位摊销成本等于机器的成本与总工作量之比(设机器使用寿命截止时残值为零)。第三,加速摊销法。

这些方法的共同特点是:在设备的最初几年中摊销的成本较多,随著使用时间的增加,每年摊销的成本逐渐减少,最后几年摊销的成本最少。常见的方法有“使用年数总和法”和“双倍余额递减法”。

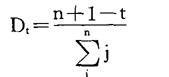
使用年数总和法的年摊销成本等于设备原值与递减份数的乘积,其中递减份数的计算公式是:

其中:Dt——递减份数

n——设备预计使用年限

t——设备使用年限中的逐年数

双倍余额递减法中年摊销成本等于年摊销率与设备当年账面价值的乘积;其中年摊销率的计算方法为:年摊销率等于2除以预计使用年限。

随便看

 

离鸟网收录3541549条中英文词条,其功能与新华字典、现代汉语词典、牛津高阶英汉词典等各类中英文词典类似,基本涵盖了全部常用中英文字词句的读音、释义及用法,是语言学习和写作的有利工具。

 

Copyright © 2004-2024 vtrois.com All Rights Reserved
更新时间:2026/5/25 21:46:14