成本预测数学模型
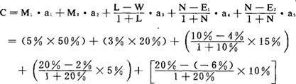
指借助于数学模型进行成本预测的数学方法。 它可以简化工作,使成本计划更符合实际。成本预测时,一般可以按下列数学模型测算:  式中:C表示预测的产品单位成本降低率(%);M表示预计计划期材料费用降低幅度(%)(也可将燃料、动力等项分别计算);L表示预计计划期劳动生产率增长幅度(%);W表示预计计划期工资费用增长幅度(%);N表示预计计划期产量增长幅度(%);E表示预计计划期管理费用增长幅度(%)(也可分别按企业管理费、车间经费计算);a表示该产品成本构成,a1,a1,a3……分别为材料费用、工资、管理费用等成本构成占单位产品成本的比重(%)。 例如,某企业本期实际生产A产品20万件,计划下期生产A产品24万件,增长20%。 A产品本期实际成本资料以及计划期各成本项目预计增减幅度资料如下表所示:  由题意和上表可知,M1=5%,M2=3%,L=10%,W=4%,N=20%,E1=2%,E2=-6%,a1=50%,a2=20%,a3=15%,a4=5%,a5=10%。 将上列数据代入成本预测数学模型,得:  =2.5%+0.6%+0.82%+0.75%+2.17%=6.84% 运用成本预测数学模型预测结果,A产品计划期单位产品成本降低幅度为6.84%。 |