网站首页  词典首页


请输入您要查询的字词:

 

字词 打浆机(或其它浆池)容积的测定计算
类别 中英文字词句释义及详细解析
释义 打浆机(或其它浆池)容积的测定计算

[取样方法]将打浆机洗净后放入清水至工作水位高度(若测全容积则把水放满),开机循环2分钟,用一细口玻瓶取约500mL清水供作空白试验用。称取精制食盐3kg溶于适量水中,倒入浆池内,继续运转10分钟,用另一细口玻瓶采取约500mL试液,供分析食盐含量用。

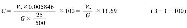
[测定方法]吸取50mL清水,注入250mL锥形瓶中,加5%铬酸钾指示剂1mL,用0.1M硝酸银标准溶液滴定至呈微红色,设其用量为V0mL。同上法吸取50mL试液滴定之,设0.1M硝酸银标准溶液的用量为V1mL精确称取5g食盐试样于烧杯中,用蒸馏水溶解过滤,滤液盛入500mL容量瓶中,用水洗涤烧杯及滤纸至无C1(用硝酸银测试),洗涤液全部盛入容量瓶中,用水稀释至刻度,摇匀后吸取25mL试液于锥形瓶中,加入5%铬酸钾指示剂1mL,用0.1M硝酸银标准溶液滴定至呈微红色,设其用量为V2

式中 V-打浆机容积(L)

G-食盐试样重(g)

G1-加入打浆机食盐量(g)

0.005846-与1m10.1M硝酸银溶液相当的氯化钠量(g)

其它同上

随便看

 

离鸟网收录3541549条中英文词条,其功能与新华字典、现代汉语词典、牛津高阶英汉词典等各类中英文词典类似,基本涵盖了全部常用中英文字词句的读音、释义及用法,是语言学习和写作的有利工具。

 

Copyright © 2004-2024 vtrois.com All Rights Reserved
更新时间:2026/4/6 20:18:18