网站首页  词典首页


请输入您要查询的字词:

 

字词 打浆辊线速度的计算
类别 中英文字词句释义及详细解析
释义 打浆辊线速度的计算

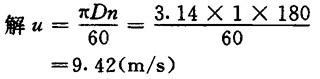
【公式】

式中 u——打浆辊线速度(m/s)

D——打浆辊直径(包括刀槽深度)(m)

n——打浆辊转速(r/min)

【例】 已知打浆机的飞刀辊直径为Φ1000mm,转速为180r/min,求打浆辊的线速度。

随便看

 

离鸟网收录3541549条中英文词条,其功能与新华字典、现代汉语词典、牛津高阶英汉词典等各类中英文词典类似,基本涵盖了全部常用中英文字词句的读音、释义及用法,是语言学习和写作的有利工具。

 

Copyright © 2004-2024 vtrois.com All Rights Reserved
更新时间:2026/4/8 16:27:41