托加比特
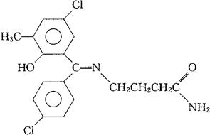
C18H18Cl2N2O2=365.26 CAS-86914-11-6 (E)-4-[[(5-氯-2-羟-3-甲基苯基)-(4-氯苯基)亚甲基]氨基]-丁酰胺。 Butanamide,4-[[(5-chloro-2-hydroxy-3-methylphenyl)-(4-chlorophenyl)methylene]amino]-,(E)-. (E)-4-[[5-氯-α-(对-氯苯基)-3-甲基亚水杨基]氨基]丁酰胺。 (E)-4-[[5-Chloro-a-(p-chlorophenyl)-3-methylsalicylidene]amino]butyroyl. 抗惊厥药,抗癫痫药,抗抑郁药。 Tolgabide,SL81,0142-00. INN,BAN,USAN.  |