网站首页  词典首页


请输入您要查询的字词:

 

字词 托可索仑
类别 中英文字词句释义及详细解析
释义 托可索仑

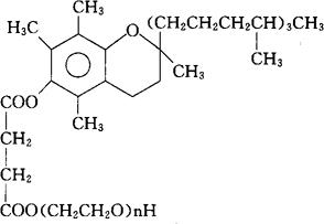
C33H54O5(C2H4O)n(n=approximately 22)

CAS-30999-06-5

α-[4-[3,4-二氢-2,5,7,8-四甲基-2-(4,8,12-三甲基十三烷基)-2-H-1-苯并吡喃-6-基]氧]-1,4-二氧代丁基-ω-羟-聚(氧代-1,2-乙烷二基)。

Poly(oxy-1,2-ethanediyl),α-[4-[3,4-dihydro-2,5,7,8-tetramethyl-2-(4,8,12-trimethyltridecyl)-2H1-benzopyran--6-yl]oxy]-1,4-dioxobutyl-ω-hydroxy.

单-[2,5,7,8-四甲基-2-(4,8,12-三甲基十三烷基)-6-苯并二氢吡喃基]琥珀酸聚乙二醇单酯。

Mono-[2,5,7,8-tetramethyl-2-(4,8,12-trimethyltridecyl)-6-chromanyl]siccinatepolyethylene glycol monoester.

(+)-α-生育酚基聚乙二醇1000琥珀酸酯。

(+)-α-Tocopheryl polyethylene glycol 1000 succinate.

维生素类药,维生素E的补充药,抗氧药。

Tocophersolan,Vitamin E,Vitamin E TPGS,TPGS,Tocofersolan.

INN(Tocofersolan),USAN.

随便看

 

离鸟网收录3541549条中英文词条,其功能与新华字典、现代汉语词典、牛津高阶英汉词典等各类中英文词典类似,基本涵盖了全部常用中英文字词句的读音、释义及用法,是语言学习和写作的有利工具。

 

Copyright © 2004-2024 vtrois.com All Rights Reserved
更新时间:2026/4/9 0:19:30