网站首页  词典首页


请输入您要查询的字词:

 

字词 托可醌
类别 中英文字词句释义及详细解析
释义 托可醌

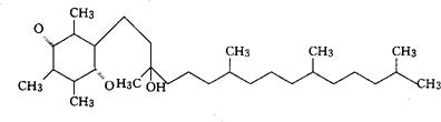
C29H50O3=446.70

CAS-7559-04-8

2-(3-羟-3,7,11,15-四甲基十六烷基)-3,5,6-三甲基-1,4-苯醌。

2-(3-Hydroxy-3,7,11,15-tetramethyl hexadecyl)-3,5,6-trimethyl-1,4-benzoquinone.

抗高血压药,血小板聚集抑制药。

脉妥宁,托可苯醌,α-维生素E醌。

Tocopherylquinone,Tokopherylchion,α-Tocopherolquinone,Eutrophyl,Metorene,Tocopressina,Trimina,Vitapressina.

随便看

 

离鸟网收录3541549条中英文词条,其功能与新华字典、现代汉语词典、牛津高阶英汉词典等各类中英文词典类似,基本涵盖了全部常用中英文字词句的读音、释义及用法,是语言学习和写作的有利工具。

 

Copyright © 2004-2024 vtrois.com All Rights Reserved
更新时间:2026/4/7 11:08:16