网站首页  词典首页


请输入您要查询的字词:

 

字词 托喹嗪
类别 中英文字词句释义及详细解析
释义 托喹嗪

C23H29N5O=391.52

CAS-7125-71-5

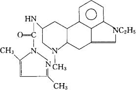
N-(4-乙基-4,6,6a,7,8,9,10,10a,-八氢-7-甲基吲哚并[4,3-fg]喹啉-9-基)-3,5-二甲基-1H-吡唑-1-羧酰胺。

1H-Pyrazole-1-carboxamide,N-(4-ethyl-4,6,6a,7,8,9,10,10a,-octahydro-7-methylindolo[4,3-fg]quinolin-9-yl)-3,5-dimethyl-.

N-(4-乙基-4,6,6a,7,8,9,10,10a-八氢-7-甲基吲哚并[4,3-g]喹啉-9-基)-3,5-二甲吡唑-1-羧酰胺。

N-(4-Ethyl-4,6,6a,7,8,9,10,10a-octahydro-7-methylindolo[4,3-g]quinolin-9-yl)-3,5-dimethylpyrazole-1-carboxamide.

抗胆碱药,抗溃疡药。

Toquizine,44106(L∶lly).

INN,USAN.

随便看

 

离鸟网收录3541549条中英文词条,其功能与新华字典、现代汉语词典、牛津高阶英汉词典等各类中英文词典类似,基本涵盖了全部常用中英文字词句的读音、释义及用法,是语言学习和写作的有利工具。

 

Copyright © 2004-2024 vtrois.com All Rights Reserved
更新时间:2026/4/8 12:56:06