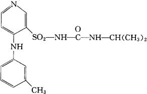
托拉塞米
C16H20N4O3S=348.42 CAS-56211-40-6 N-[[1-(甲基乙基)氨基]羰基]-4-[(3-甲基苯基)氨基]-3-吡啶磺酰胺。 3-Pyridinesulfonamide,N-[[1-methylethyl amino]carbonyl]-4-[(3-methylphenyl)amino]-. 1-异丙基-3-[(4-间-甲苯胺基-3-吡啶基)磺酰]脲。 1-lsopropyl-3-[(4-m-toluidino-3-pyridyl)-sulfonyl]urea, 消炎药,利尿药。 Torasemide,Torsemide,BM02.015,AC 4464,JDJDL 464. INN,BAN(Torasemide),USAN.  |