网站首页  词典首页


请输入您要查询的字词:

 

字词 托考贝特
类别 中英文字词句释义及详细解析
释义 托考贝特

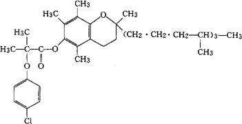
C39H59ClO4=627.35

CAS-50465-39-9

3,4-二氢-2,5,7,8-四甲基-2-(4,8,12-三甲基十三烷基)-2H-1-苯并吡喃-6-基2-(4-氯苯氧)-2-甲基丙酸酯。

3,4-Dihydro-2,5,7,8-tetramethyl-2-(4,8,12-trime thyltridecyl)-2H-1-benzopyran-6-yl 2-(4-chlorophenoxy)-2-methylpropanoate.

2,5,7,8-四甲基-2-(4,8,12-三甲基十三烷基)-6-苯并二氢吡喃基-2-(对-氯苯氧)-2-甲基丙酸酯。

2,5,7,8-Tetramethyl-2-(4,8,12-trimethyltridecyl)-6-chromanyl-2-(p-chlorophenoxy)-2-methylpropionate.

降血脂药。

Tocofibrate,Cloferol.

INN,USAN.

随便看

 

离鸟网收录3541549条中英文词条,其功能与新华字典、现代汉语词典、牛津高阶英汉词典等各类中英文词典类似,基本涵盖了全部常用中英文字词句的读音、释义及用法,是语言学习和写作的有利工具。

 

Copyright © 2004-2024 vtrois.com All Rights Reserved
更新时间:2026/4/8 1:21:28