网站首页  词典首页


请输入您要查询的字词:

 

字词 托西米定
类别 中英文字词句释义及详细解析
释义 托西米定

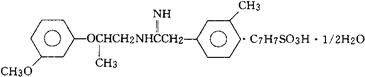
C19H24N2O2·C7H7SO3H·1/2H2O=492.60

CAS-6443-40-9

CAS-6443-50-1(xylamidine)

N-[2-(3-甲氧基苯氧)丙基]-3-甲基苯乙烷亚胺酰胺,单(4-甲苯磺酸盐),半分子水化合物。

Benzenee thanimidamide,N-[2-(3-methoxyphenoxy)propyl]-3-methyl-,mono(4-methylbenzenesulfonate),hemihydrate.

N-[2-(间-甲氧基苯氧)丙基]-2-间-甲苯乙脒单-对-甲苯磺酸盐,半分子水化合物。

N-[2-(m-Methoxyphenoxy)propyl]-2-m-tolylacetamidine mono-p-toluenesulfonate hemihydrate.

抗胆碱药,5-羟色胺拮抗药。用于治疗十二指肠及胃溃疡。

托西酸赛拉米定。

Xylamidine Tosylate,Xytamidine Tosilate,BW 64,545,BW 545-C-64.

INN(Xylamidine Tosilate),BAN(Xylamide Tosylate),USAN.

随便看

 

离鸟网收录3541549条中英文词条,其功能与新华字典、现代汉语词典、牛津高阶英汉词典等各类中英文词典类似,基本涵盖了全部常用中英文字词句的读音、释义及用法,是语言学习和写作的有利工具。

 

Copyright © 2004-2024 vtrois.com All Rights Reserved
更新时间:2026/4/8 7:40:12