网站首页  词典首页


请输入您要查询的字词:

 

字词 托非索林
类别 中英文字词句释义及详细解析
释义 托非索林

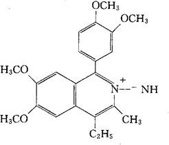
C22H26N2O4=382.46

CAS-29726-99-6

1-(3,4-二甲氧苯基)-4-乙基-6,7-二甲氧基-3-甲基异喹啉2-亚胺。

1-(3,4-Dimethoxyphenyl)-4-ethyl-6,7-dimethoxy3-methylisoquinoline.-2-imide.

2-氨基-1-(3,4-二甲氧苯基)-4-乙基-6,7-二甲氧-3-甲基-异喹啉鎓氢氧化物内盐。

2-Amino-1-(3,4-dimethoxyphenyl)-4-ethyl-6,7-dimethoxy--3--methylisoquinolinium hydroxide inner salt.

安定药。

Tofisoline.

USAN.

随便看

 

离鸟网收录3541549条中英文词条,其功能与新华字典、现代汉语词典、牛津高阶英汉词典等各类中英文词典类似,基本涵盖了全部常用中英文字词句的读音、释义及用法,是语言学习和写作的有利工具。

 

Copyright © 2004-2024 vtrois.com All Rights Reserved
更新时间:2026/4/7 20:22:04