网站首页  词典首页


请输入您要查询的字词:

 

字词 技术进步增长模型
类别 中英文字词句释义及详细解析
释义 技术进步增长模型

【内容介绍】:

在西方经济学家中,有人把技术进步看作是中性的,有人把技术进步则看作是非中性的。

哈罗德-多马模型假定生产的技术系数是固定,新古典模型也把技术进步看作是外生的。卡尔多、索洛等经济学家对上述经济增长模型提出了批评,指出这类模型没有把技术进步放置于适当的位置上。因此,他们试图阐明技术进步在经济增长中的积极作用。在讨论技术进步模型之前,我们先回顾一下理论界对中性技术进步和非中性技术进步的争论。

1.中性与非中性技术进步

所谓中性技术进步,是指技术进步既不节省资本也不节省劳动力的情况。相反,所谓非中性技术进步,是指技术进步不是节省资本就是节省劳动力的情况。在研究增长经济学的文献中,希克斯和哈罗德曾深入讨论过中性技术进步和非中性技术进步。在此,我们就先介绍这两位经济学家的理论。

1.1 希克斯的中性技术进步概念

在希克斯(Hicks,1963)看来,当发明使劳动力和资本的边际生产率提高的比例相同时,它就被说成是中性的。

换言之,如果在资本-劳动比率不变时,资本的边际产量与劳动力的边际产量的比率保持不变,这种技术进步就是中性的。换言之,在资本-劳动比率不变的情况下,节省劳动力的技术进步,相对于劳动力的边际生产力而言,将提高资本的边际生产力;而节省资本的技术进步,相对于资本的边际生产力而言,将提高劳动力的边际生产力。

希克斯中性技术进步可以通过图1比较两种不同生产函数的点来说明。

在图1中,纵轴表明的是人均产出q(=Q/L),横轴代表资本-劳动比率k(=K/L)。

各符号的经济含义是:

Q——产出

K——以实物单位表示的资本投入

L——以实物单位表示的劳动投入

OM——边际劳动力产量与边际资本产量的比率

OP——技术进步前的生产函数

OP1——技术进步后的生产函数

就生产函数OP来说,切线MWA的斜率表明的是资本的边际产量,OW表明的是劳动力的边际产量。

为了证明OM表明的是劳动力的边际产量与资本的边际产量的比率,取三角形OWM。由于MW的斜率表明的是资本的边际产量,比如说是u,我们就可以把它表达成为:

图2描述的是节省劳动力的技术进步的情况。

在这种情况下,t是技术进步前的等产量线,t1是技术进步之后的等产量线。在等产量线t1上的B点,当资本-劳动力比率既定时,相对于资本而言,所需要的劳动力较少。

这种技术进步类型相对而言是节省劳动力的技术进步。如果劳动力的利用数量是绝对下降的,而资本的利用数量是上升的,则这是绝对节省劳动力而利用资本的技术进步。

相反,在资本-劳动比率不变的情况下,如果相对于资本而言,技术进步提高的是劳动力的边际产量,则这种技术进步是节省资本的技术进步。这时,既定的产出所需要的资本少于劳动力。在图3中,在等产量线t1上的B点,当资本-劳动力比率既定时,相对于劳动力而言,技术进步之后所需要的资本减少了。这种技术进步类型相对来说是节省资本的技术进步。

如果资本的利用数量是绝对下降的,而劳动力的利用数量是上升的,则这是绝对节省资本而利用劳动力的技术进步。

劳动力和资本的相对与绝对使用量由于技术进步而产生的准确变化方式,将取决于要素替代弹性和产品需求弹性。用希克斯的话来说,它取决于经济中资本和劳动力间的替代弹性,因为这种弹性有助于决定技术进步对这两种要素价格产生怎样的影响;它还取决于经济各部门产品的需求弹性。

依据希克斯中性,如果要素比例和劳动力与资本的相对报酬是固定的,则要素份额也将保持不变。

用图1来说明,这意味著在A和B之间,如果生产函数OP1在B点的斜率大于生产函数OP在A点的斜率,其比例与产出KB大于KA的比例相同,则技术进步是希克斯中性的。这表明,资本的数量一旦被改变,资本的边际产量(或每单位资本的利润数量)提高的比例将与总产出提高的比例相同。

换言之,在A和B之间,如果技术进步是希克斯中性的,总产出中利润和工资所占的比例保持不变。当劳动力与资本间的替代弹性等于1时,情况也如此。

西方经济学界对希克斯中性进行了批评,主要观点如下:第一,即使涉及到大量的生产要素,这也是一种苛刻的定义。第二,希克斯中性取决于需求弹性和替代弹性,使其成为一种繁笨的分析工具。

第三,哈罗德批评希克斯中性时指出,像产品和要素的需求弹性这类条件,实际上与革新本身的内在特性毫无关系。第四,希克斯中性是在静态经济框架内建立的。

1.2 哈罗德的中性技术进步概念

中性技术进步的另一种定义是哈罗德在其《动态经济学导论》一书中提出来的。根据他的观点,如果在利润率或利率不变时,资本-产出比率也保持不变,技术进步就是中性的[哈罗德使用的是“不变的利率”(constant rate of interest),而其他经济学家把他的这个术语转变成了“不变的利润率”(constant rate of profit)]。如果利润率在技术进步之后保持不变而资本-产出比率提高,则技术进步是节省劳动力的技术进步。相反,如果当利润率不变时,资本-产出比率随著技术进步而降低,则技术进步是节省资本的技术进步。

哈罗德的中性技术进步概念可以借助图4来解释。在图4中,人均资本(k)用X轴来表示,人均产出(q)用Y轴来表示。

OP是技术进步前的生产函数,OP1是技术进步之后的生产函数。在生产函数OP的A点上的资本-产出比率是OK1/OY1,在生产函数OP1的B点上的资本-产出比率是OK2/OY2。由于射线OR既通过A点又通过B点,则在这些点上的资本-产出比率是相等的,即OK1/OY1=OK2/OY2

哈罗德中性也要求,技术进步之后的利润率必须同不变的资本-产出比率一样保持不变。

这就是说,资本的边际生产率(或利润率)必须分别在生产函数OP和OP1上的A点和B点上是相同的。这就要求生产函数OP在A点的斜率必须等于生产函数OP1在B点上的斜率。

换言之,这意味著A点和B点的切线彼此必须是平行的。在图4中,A点的切线TG平行于B点的切线T1G1

因此,正如生产函数OP向上移动至OP1所表明的那样,哈罗德中性技术进步描述出,如图4中射线OR所经过的A点和B点的资本-产出比率相等,A点和B点的切线斜率也相等,因而说明利润率不变。

哈罗德的中性技术进步定义优于希克斯的定义,原因在于前者适用于动态情况而不是静态情况。

这样,它就构成了经济增长理论的重要部分,因为它使用的是资本-产出比率概念,而这一概念在现代增长分析中是必不可少的。若假定规模收益率不变,资本-产出比率的变化只有通过技术进步才能实现。

况且,在哈罗德中性技术进步中,没有直接提到劳动力,因为它全部都是以资本与产出之间的关系为基础的。再者,若没有技术进步,资本-劳动比率和产出-劳动比率也会变化。

但是,当资本-产出比率不变时,哈罗德中性技术进步本身不会改变资本-劳动比率。可是,哈罗德中性革新可能会提高不管是制造还是操作机器的所有类型劳动力的生产率,提高的比率恰与这些机器所生产的产出的提高比率相同。换言之,这意味著在哈罗德中性情况下,每台机器的产出提高比率与每人的产出提高比率相同。

哈罗德中性的另一含义是关于国民产出中要素份额的分配。

按照哈罗德中性技术进步,如果资本-产出比率和利润率在图4中的A点和B点保持不变,则资本和劳动力在国民产出中的份额也是不变的。我们也可以说,当劳动力和资本正在生产一种产品且存在哈罗德中性技术进步时,可能会使工资和利润的提高同产出的增长成正比。从这一点来说,资本-产出比率不变的假定意味著资本存量和劳动力按相同的比率增加。这就是说,资本家的收入可能同工人的工资具有相同的提高速度。

如果技术进步是节省资本的,在利率不变的情况下,国民产出中的劳动力的份额就会提高,而资本家的份额可能会降低。相反,在利率不变的情况下,节省劳动力的技术进步将降低国民产出中的劳动力的份额,而提高资本的份额。

哈罗德中性可以用生产函数形式表示为:

Q=F[K,A(t)L] (4)

其中,Q是K和A(t)L的函数,这表明在规模收益率不变的情况下,资本(K)和实际劳动力单位[A(t)L]的等比例提高,一定会导致国民产出(Q)的等比例提高。在利率不变的情况下,整个经济中的劳动效率提高。

“在人口增长的情况下,工作人数会增加;哈罗德中性技术进步增加了每个人能做的工作数量。其结果是在人口增加和哈罗德中性技术进步的情况下,GNP按既定的比率提高。

其差异是在哈罗德中性技术进步的情况下,人均收入(人均实际工资)增加;在人口增加的情况下,人均收入保持相同。正如琼·罗宾逊和宇泽弘文(Uzawa)所指出的那样,从严格定义来看,无论(不变的)资本-产出比率怎样,哈罗德中性技术进步都会按相同的比率提高收入。

哈罗德中性这种构想被认为是“纯粹劳动力促进的技术进步”。然而,索洛(Solow,1963)指出,哈罗德中性可能纯粹是“资本促进的技术进步”。

其生产函数是:

Q=F[A(t)K,L] (5)

其中,A(t)(技术进步指数)置于K之前而不像劳动力促进技术进步情况时置于L之前。

经济学家根据琼·罗宾逊(Robinson,1938)的分析证明,如果劳动力与资本间的替代弹性是1,而且收入分配没有变化,则技术进步既是希克斯中性的又是哈罗德中性的。

如果在给定劳动力的情况下,资本保持不变,而且收入分配是相同的,则存在希克斯中性技术进步。如果在给定劳动力的情况下,资本与国民产出增加的比例相同,而且收入分配是相同的,则存在哈罗德中性技术进步。

2.技术进步模型

上一节我们简单考察了两种技术进步的中性概念,本节将详细研究技术进步模型,特别是索洛的贡献。

2.1 不体现的技术进步

在20世纪50年代,亚伯拉毛维兹(Abramovitz,1956)、坎德里克(Kendrick,1956)和索洛(Solow,1957)等先后发表文章,试图衡量技术进步对经济增长的贡献。他们把技术进步看作是“不体现的”。

“不体现的技术进步”(disembodied technical change)是指在没有任何新投资的情况下,利用不变的投入生产出更多的产出;换言之,不体现的技术进步是指生产函数的任何移动,使资本和劳动力间的平衡在长期不受干扰。例如,组织改进这样的技术进步就是一种不体现的技术进步,因为不必体现于新生产出来的资本品或新训练、教育出来的工人之上,它就产生利益。只要是属于不体现的技术进步,在理论上就有可能假定劳动力是同质的,因为不管年龄、训练程度和教育状况如何,技术进步将使一切工人的生产率都同比例地受益;同样地,也可以假定资本是同质的,因为不管其使用的年限和设计状况如何,所有资本都同比例地从技术进步获得好处(夏皮罗,1985,第598页)。

对于这种技术进步,生产函数是:

Q=F(K,L,t) (6)

式中各符号的经济含义是:

Q——产出

K——资本投入

L——劳动力投入

t——技术进步

索洛以希克斯中性技术进步作为基础,设想了一种特殊形式的生产函数:

Q=A(t)F(K,L) (7)

其中,A(t)是技术进步指数或衡量在一定时期内移动的累积效应的指数。“从技术进步对生产率的影响不需要任何投入量变化的意义上说,这种生产函数意味著技术进步是编造的。”

产出增长率(Q′/Q)等于技术进步率(A′/A)加上资本增长率(K′/K)与劳动力增长率(L′/L)的加权平均值。如果是线性齐次生产函数,这些权数之和等于1,而且我们得到:

其中,“′”表示时间导数,at代表产出的资本弹性。

索洛依据美国资本与产出几乎以相同的增长率增长这一历时事实,著手集中研究技术进步率。“通过利用资本份额和劳动力份额以及人均资本增长率和人均产出增长率的数据,在计算出资本的贡献之后,取得了‘剩余’的贡献。这个剩余就是技术进步。”索洛的结论是:在美国1909~1949年间,人均产出增长率12.5%是人均资本增加的结果,剩余的87.5%是技术进步的结果。

这些结论可能决定了投资相对于技术进步在经济增长中的作用。用菲尔普斯(Phelps)的话说,“这种理论的结果产生了一股投资悲观情绪”。格瑞利克斯(Griliches)指出,“剩余理论”在理解经济增长过程中并非很有用,因为它是以生产函数概念为基础的,而生产函数若是不稳定的且其中存在著大量的不可解释的移动,也不会是很有用的。还有些经济学家认为,“剩余理论”可能忽略了其他影响,诸如劳动力因受教育等而质量有所改善。

此外,这种理论以完全竞争、规模收益不变以及资本存量是完全同质的等一些不现实的假设为基础。因此,丹尼森(Denison,1962)、乔根森和格瑞利克斯(Jorgenson and Griliches,1967)以及坎德里克(Kendrick,1973)等一些经济学家试图确定“剩余”的数量,并把它分成若干部分。他们得到的结论是:“剩余”不是一个含义很广的术语,而且在生产函数是稳定的假设条件下,产出的变化是由于投入的数量和质量变化、规模经济变化以及知识提高的结果,而不是技术进步的结果。

2.2 体现了的技术进步

索洛(Solow,1960)在其《投资和技术进步》一文中,自己修正了基于资本存量是同质的以及技术进步产生于外界这种不体现的技术进步的剩余理论。“在这个模型中,新的资本积累被认为是技术进步的手段。同以前时期制造的机器相比,技术进步提高了以后任何时期制造的机器的生产率,但是,它没有提高现已存在的机器的生产率。

技术进步在新机器中得到‘体现’。机器不可改变地要反映出其制造时期的技术。

不同时期制造的机器……在质量上因此是不同的,在一般情况下,不能合并为单一的资本衡量标准。

每一时期(vintage)都有不同的生产函数。

总产出就是所有使用时期的产出总和”(Hahn and Mathews,1964)。所以,体现了的技术进步(embodied technical change)是这样一种技术进步,即在它能对经济的产出增长率起作用之前,它必须在物质上被包括在新生产出来的资本品之中,或者同新训练和教育出来的工人结合在一起。

因此,资本和劳动力都不能再假定为同质的。

这个模型假设条件是:

第一,资本存量包括不同时期即在不同日期制造的机器。

第二,新机器比以前时期制造的机器的生产率更高。

第三,技术进步按某一既定的比率持续提高。

第四,技术进步只影响新机器。

第五,所有技术进步都是统一的。

第六,机器体现制造时期的所有最新知识,但不分享以后的技术改进。

第七,模型中只考虑新机器的总投资。

第八,生产函数属于科布-道格拉斯线性齐次生产函数。

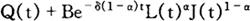
在上述假设条件下,每一时期v的机器在时期t内所生产的总产出Qv(t)用科布-道格拉斯生产函数表示为:

式中,各变量的含义是:

Beλv——技术以比率λ中性化和指数化增长的水平

Lv(t)——操作现存(或在时间t的时期v的)资本存量的劳动力的数量

Kv(t)——在t>v时仍然存在的时期v的机器数量

α、1-α——产出关于劳动力L和资本K的弹性

令数量Kv(t)代表总投资(即时期v内资本品的产出),索洛则用I(v)来表示。如果资本品易受一种不变的损耗力(折旧)δ的影响,则资本的平均寿命是1/δ,总投资为:

Kv(t)=Kv(v)e-δ(t-v)=I(v)e-δ(t-v) (5)

按照索洛的说法,这是在一种指数寿命表约束下对各时期及相应生产率的资本品连续体的一种描述。在每一时刻,劳动力根据现存资本品来调整。

因此,总产出是由各层次资本存量的合并决定的。

关于在资本存量既定的情况下劳动力对总产出的贡献,索洛指出,如果我们假定劳动力市场是竞争的,则不论劳动力所操作的资本年限如何,所有同质劳动力一定获得相同的工资。因此,如果劳动力通过使所有设备的劳动生产率相等而使各时期资本得到有效的配置,则总产出Q(t)即各时期同质产出之和就是:

其中,

索洛把“J”变量称为有效的资本存量,它是一种代表全部早期技术水平的所有资本品的加权平均生产率。

但是,较短时期的资本品获得的权数比新资本品的权数小。

他进一步指出,资本的平均年限可以通过提高储蓄率来降低,因而使用中的机器平均质量可以得到提高。因此,人均产出可能要提高。

与不体现的技术进步模型(该模型假定资本存量是完全同质的)不同,在体现了的技术进步模型中,新机器比旧机器好,且技术进步包含于新机器中。就前一种理论来说,资本-劳动比率在所有时期都会依科布-道格拉斯生产函数变化。

但是,就后一种理论来说,机器一旦制造出来,就已固定了劳动力的需要。换言之,“每一种机器就是由既定的一班人来操作的,这些人的多少以后不能改变”。用约翰逊(Johansen)的话来说,这个模型可以说具有事前的劳动力与资本的替代性和事后的固定系数替代性。

然而,体现了的技术进步理论也有一些局限性。

第一,它不能考察工资预期对机器制造的影响。实际上,投资者在制造机器之前就形成工资率提高的预期。倘若如此,实际工资率不会等于操作既定时期和类型的劳动力的边际生产率,但是,它将等于所使用的最低效率机器的人均产出。

第二,本模型是以完全竞争为基础的,因此,它没能考虑到要素市场的不完全性。

第三,索洛模型假定机器按指数折旧。但是,正如斯蒂格里兹(Stiglitz)所指出的那样,对于电话线杆来说可能是一种合理的假设,但对于大多数机器来说则不然。

第四,整个模型是以这样的假设为基础的:机器有不同的类型,新机器比旧机器好。但是,它并未把“总资本”(capital-in-general)看作是资本存量的总和。

第五,该模型所依据的另一个假设与固定的劳动力需要有关。这对于人均产出较高而资本-劳动比率可能较低的经济来说不现实。

第六,这个模型只是把技术进步包括在新机器中,忽略了学习过程和投资研究中引致的革新问题。。

【参考文献】:

哈罗德-多马增长模型(Harrod-Domar Growth Model)

索洛增长模型(Solow Growth Model)

米德增长模型(Meade Growth Model)

卡尔多增长模型(Kaldor Growth Model)

罗宾逊资本积累模型(Robinson Capital Accumlation Model)

稳定状态增长模型(Steady State Growth Model)

费尔德曼增长模型(Fel’dman Growth Model)

马哈拉诺比斯增长模型(Mahalanobis Growth Model)

Abramovitz, M. , 1956, Resources and Output Trends in the United State since 1870, American Economic Review,May.

Denison, E. F., 1962, The Sources of Economic Growth in the United States, Committee for Economic Development.

Hahn, F. H. and R. C. O. Mathews, 1964, The Theory of Economic Growth, A Survey, Economic Journal 74.

Harrod, R. F., 1948, Towards a Dynamic Economics: Some Recent Developments of Economic Theory and Their Applicaton to Policy,Macmillan.

Harrod, R. F., 1960, Second Essay in Dynamic Economics, Economic Journal, June.

Hicks, J. R. 1963, The Theory of Wages, 2nd ed., London:Macmillan.

Jorgenson, D. and Z. Griliches, 1967, The Explanation of Productivity Change, Review of Economic Studies 34.

Kendrick, J. W., 1956, Productivity Trends: Capital and Labour, Review of Economic Studies, August.

Kendrick, J. W., 1973, Postwar Productivity Trends in the United States,1948-1969,NBER.

Robinson, J., 1938, The Clas sification of Inventions, Review of Economic Studies, February.

Solow, R. M., 1957, Technical Change and the Aggregate Production Function, Review of Econiomics and Statistics, August.

Solow, 1960, Investment and Technical Progress, in Arrow, Karlin and Suppes, eds., Mathematical Models in Social Sciences, Stanford University Press.

Solow, R. M., 1963, Capital Theory and the Rate of Return,Amsterdam; North-Holland.

夏皮罗,E.J.,1985, 《宏观经济分析》,中国社会科学出版社中译版。

郭庆旺,1995,《现代经济增长模型比较研究》,东北财经大学出版社

随便看

 

离鸟网收录3541549条中英文词条,其功能与新华字典、现代汉语词典、牛津高阶英汉词典等各类中英文词典类似,基本涵盖了全部常用中英文字词句的读音、释义及用法,是语言学习和写作的有利工具。

 

Copyright © 2004-2024 vtrois.com All Rights Reserved
更新时间:2026/4/7 9:52:42