网站首页  词典首页


请输入您要查询的字词:

 

字词 投资项目国民经济评价
类别 中英文字词句释义及详细解析
释义 投资项目国民经济评价

一般采用以国家净收益和国民收入净增值为基础来评价。也可采用按现行价格计算相关投资和效益来评价的方法。

1.国家净收益法

是用调整的价格和汇率计算项目产出与投入之差。其年收益(或称社会盈余)包括税金和利润(净利+利息)。因此,计算研究周期内的国家净收益时,用式2-59。即

式中 POj——在第j年中的产出价值;

MIj——在第j年的外购生产用材料费和服务费;

Kj——在第j年的投资额;

Wj——在第j年的工资额;

RPj——在第j年汇出国外的资金。

2.国民收入净增值法

是国家净收益工资及附加费的总和,反映项目新创造的价值。计算研究周期内的国民收入净增值,用式2-60。即

用此法评价的主要指标包括:国民收入净增值的现值、国家收益率(社会贴现率)、净外汇效果和国际竞争力等。

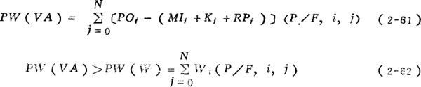
(1)国民收入净增值现值:分为绝对效果和相对效果两种分析。分析绝对效果时,必须使各年国民收入净增值现值之和(PW(VA))大于零,即只有PW(VA)大于各年工资现值之和(PW(W))时,才表示该项目可以考虑。如式2-61和2-62所示。

分析相对效果时,在资金有限的情况下,著重计算投资的相对效果系数(Ec)。如式2-63所示。

Ec=PW(VA)/PW(K) (2-63)

式中 PW(K)——总投资的现值。

(2)国家收益率:是按调整价格的汇率计算的国家净收益现值之和为零时的贴现率。如式2-64所示。

(3)净外汇效果:是分析项目受外汇状况影响的指标。包括净外汇流量和取代进口两部分。净外汇流量的现值PW(FE)等于外汇流入量(包括外汇贷款、国外股本、出口产品收入、替代进口效果)的现值之和,与外汇流出量(包括进口设备、备品备件、专利等外汇支出、国外贷款本金和利息的偿还、支付外籍人员的工资等)现值之和的差额。如式2-65所示。

式中 FIj——在第j年的外汇流入;

FOj——在第j年的外汇流出。

所谓替代进口效果,是指被确认可以代替进口而节约的外汇价值。

(4)国际竞争力:是出口产品净外汇流量的现值与出口产品的国内资源投入的现值之比。若评价项目的这个值大于1,则认为有国际竞争力。如式2-66所示。

IC=PW(FI-FO)/PW(DR)>1 (2-66)

式中 IC——国际竞争力指标;

DR——研究周期内出口产品的国内投入(投资和成本中国内资源部分及工资)。

在具体计算时,式2-66实际上就是:

随便看

 

离鸟网收录3541549条中英文词条,其功能与新华字典、现代汉语词典、牛津高阶英汉词典等各类中英文词典类似,基本涵盖了全部常用中英文字词句的读音、释义及用法,是语言学习和写作的有利工具。

 

Copyright © 2004-2024 vtrois.com All Rights Reserved
更新时间:2026/4/6 14:35:08