网站首页  词典首页


请输入您要查询的字词:

 

字词 抗坏血酸奎宁
类别 中英文字词句释义及详细解析
释义 抗坏血酸奎宁

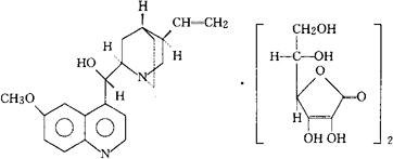
C20H24N2O2·2C6H8O6=676.67

CAS-146-40-7

α-抗坏血酸与(8α,9α)-6′-甲氧基脱氧辛可宁-9-醇(2∶1)的化合物。

α-Ascorbic acid,compound with(8α,9α)-6′-methoxycinchonan-9-ol(2∶1).

α-抗坏血酸与奎宁(2∶1)的化合物。

α-Ascorbic acid,compound with quinine(2∶1).

抗疟药,戒烟药。

Quinine Ascorbate.

USAN.

随便看

 

离鸟网收录3541549条中英文词条,其功能与新华字典、现代汉语词典、牛津高阶英汉词典等各类中英文词典类似,基本涵盖了全部常用中英文字词句的读音、释义及用法,是语言学习和写作的有利工具。

 

Copyright © 2004-2024 vtrois.com All Rights Reserved
更新时间:2026/4/7 14:29:29