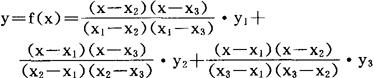
抛物线法
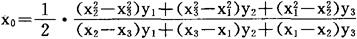
0.618法,分数法,对分法,只需对试验点的试验结果进行比较即可采用。 但这些方法受到试验次数的局限,不能更准确地估计最佳试验点的位置。而抛物线法可以定量描述因素与指标的函数关系,明确指出因素最佳点的位置。  如图所示,设x1,x2,x3三点的试验结果为y1,y2,y3,通过xy平面上的三个点(x1,y1),(x2,y2)(x3,y3)作二次抛物线  y=f(x)为近似目标函数,通过求极值找到抛物线最大值对应的x0;  如果x0不符合要求,则可再选三个点,x0和x0附近的X4,X5,然后用(x0,y0),(x4,y4),(x5,y5)作二次抛物线,求其最优点,如此一直进行下去,到试验结果符合预定要求为止。 抛物线法适用于试验结果呈单峰函数的情况。 |