抽样平均误差
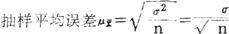
简称“平均误差”。 指一系列抽样指标的均方差,也就是一系列抽样平均数或抽样成数的均方差。测定抽样指标对全及指标代表程度的一种尺度。 在同一总体中,按同一种抽样组织形式,可抽取许多样本,每个样本都可算出抽样平均数或抽样成数。由于每个样本的结构彼此不同,计算出的平均数或成数也就不尽相同,而是个随机变量,可形成接近于正态的次数分布。 从抽样平均数或抽样成数的正态分布中,可计算其均方差,即得抽样平均数或抽样成数的抽样平均误差,一般以 表示抽样平均数的平均误差,以μp表示抽样成数的平均误差。数理统计证明:抽样平均误差和全及总体的标志变动度之间,存在著密切的数学关系。抽样平均数误差的计算公式为:  从上式可看出,抽样平均误差和总体标志变动度成正比,和样本单位数的平方根成反比。因此,要减小抽样平均误差,以提高抽样指标的代表性,只能增大样本的单位数n。 |